网站首页  词典首页


请输入您要查询的字词:

 

字词 独立商品
类别 中英文字词句释义及详细解析
释义

独立商品


在消费过程中相互独立,不受对方影响的商品。

可分为独立商品和总体独立商品。如果商品i的需求量xi在消费者效用水平以及其他条件不变时,与商品j的价格pj变动没有任何关系,即:

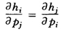
则商品i与商品j是独立商品,而且若支出函数是连续函数,则:

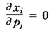
如果商品i的需求量xi与商品j的价格pj变动没有任何关系,即

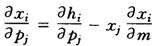
那么商品i和商品j称为总体独立商品。根据斯卢茨基方程:

〖参〗互补商品

替代商品

随便看

 

离鸟网收录3541549条中英文词条,其功能与新华字典、现代汉语词典、牛津高阶英汉词典等各类中英文词典类似,基本涵盖了全部常用中英文字词句的读音、释义及用法,是语言学习和写作的有利工具。

 

Copyright © 2004-2024 vtrois.com All Rights Reserved
更新时间:2026/4/9 3:54:59