网站首页  词典首页


请输入您要查询的字词:

 

字词 电缆槽(沟)的土(石)方开挖和回填量
类别 中英文字词句释义及详细解析
释义

电缆槽(沟)的土(石)方开挖和回填量


①直埋方式

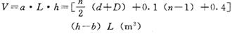
V=aLh〔0.6+0.35(n-1)〕(h-b)·L(m3)

式中 n-电缆并列埋设根数;

a-沟(槽)平均宽度(m);

L-沟(槽)长度(m);

h-沟(槽)深度(m)h=c+d;

b-路面厚度(m)

c-电缆埋深(m)d-电缆直径(或保护管外径);

D-保护管插口外径(m)。

②保护管方式

随便看

 

离鸟网收录3541549条中英文词条,其功能与新华字典、现代汉语词典、牛津高阶英汉词典等各类中英文词典类似,基本涵盖了全部常用中英文字词句的读音、释义及用法,是语言学习和写作的有利工具。

 

Copyright © 2004-2024 vtrois.com All Rights Reserved
更新时间:2026/4/8 16:55:31