网站首页  词典首页


请输入您要查询的字词:

 

字词 碱解扩散法
类别 中英文字词句释义及详细解析
释义

碱解扩散法


(一)试剂配制

1.1.0N氢氧化钠 称取化学纯氢氧化钠40g,用水溶解后冷却定容至1L。

2.其他试剂同高氯酸消煮扩散法。

(二)测定步骤 称取通过60目筛风干样品2.00g,均匀铺在扩散皿外室,水平地轻轻旋转扩散皿,使样品铺平。

在扩散皿的内室中加入2%的硼酸指示剂溶液2ml,然后在皿的外室边缘涂上碱性甘油,盖上毛玻璃,并旋转数次,以使毛玻璃与皿边完全粘合,再慢慢转开毛玻璃的一边,使扩散皿露出一条狭缝,迅速加入1.0N氢氧化钠溶液10ml于皿的外室中,立即用毛玻璃盖严。水平地轻轻旋转扩散皿,使溶液与土壤充分混匀,用橡皮筋固定。随后小心地放入40℃的恒温箱中24h后取出,以0.01NH2SO4标准溶液滴定扩散皿内室硼酸溶液吸收的氨量,终点由蓝绿色转变成紫红色,记下所用去的标准酸量(V)。

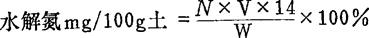
(三)结果计算

式中:W——烘干土样重;

N——标准酸当量浓度。

(四)注释

①用硼酸溶液吸收氨时,温度不宜超过40℃,温度过高,影响硼酸对氨的吸收。据北京农业大学试验,在40℃恒温下碱解24h,所释放出的水解性氮与水稻、玉米、小麦等作物产量间有较好的相关性。本法不包括NO3--N,如要包括,可加硫酸亚铁(1g,粉剂),使NO-3-N还原成NH3。因为硫酸亚铁要消耗部分氢氧化钠,应适当增加氢氧化钠的浓度。

②如果滴定所用的标准酸的浓度为0.005N时,用如下硼酸—指示剂溶液,滴定终点较为灵敏:溶解20g纯硼酸于700ml热水中,冷却后移至1000ml容量瓶中,加入200ml酒精20ml混合指示剂(称0.033g甲基红和0.066g溴甲酚绿溶解于100ml酒精中),混合后小心加入0.05NNaOH调至溶液为粉红色(调至粉红色的标准是用1ml硼酸溶液加1ml蒸馏水时,刚察觉到从粉红色变为淡绿色)。最后用水稀释至刻度,混匀。

随便看

 

离鸟网收录3541549条中英文词条,其功能与新华字典、现代汉语词典、牛津高阶英汉词典等各类中英文词典类似,基本涵盖了全部常用中英文字词句的读音、释义及用法,是语言学习和写作的有利工具。

 

Copyright © 2004-2024 vtrois.com All Rights Reserved
更新时间:2026/4/8 9:39:35