在n年内投资收益率为i,每年可得收益(A),等额序列现值图可见图2.2.6-1。

图2.2.6-1
期初投资计算公式为:

式中
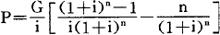
称为等额序列现值因数,等差序列是逐年按等额增加(或减少)的现金流数列。图2.2.6-2所示为:第一期为零,等差为G,项数为n的增加型等差序列。

图2.2.6-2
增加型等差序列现值计算公式为:

式中,
为增加型增加序列现值因数,可用(P/G,i,n)表示,故上式可写成为:
P=G(P/G,i,n)
现金流量等差减少的数列,称为减少型等差数列。如图2.2.6-3所示。

图2.2.6-3
图2.2.6-3是第一期末为A,以后每期按G值逐年减少的等差数列,其现值等于每期为A收入的等额序列的现值减去第一期为零以后每期支出逐期增加的G的等差序列的现值。
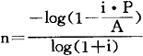
在方案经济效果评价中,资金回收期(投资返本期)是一个重要指标。当已知投资(P)、年收益(A)和投资收益率(i)的情况下,资金回收期的计算公式如下:
