网站首页  词典首页


请输入您要查询的字词:

 

字词 萜品醇
类别 中英文字词句释义及详细解析
释义

萜品醇


テルピネォ-ル(テルピノ-ル)

又称松油醇,又有称萜品油混合物。

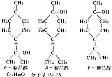
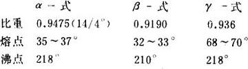
特性:一种一萜醇。理论上有四种异构体,但通常了解上列三种。α-萜品醇、β-萜品醇、γ-萜品醇都是结晶固体。商品是各异构体的混合物,是无色粘稠液体或无色透明低熔点晶体。具有甜的紫丁香气味。溶于乙醇、乙醚,微溶于水和甘油。对碱很稳定。各异构体主要物理常数如下:

用途:铅印银浆调银油。

保管:容器密闭,宜储于阴凉、通风处。

随便看

 

离鸟网收录3541549条中英文词条,其功能与新华字典、现代汉语词典、牛津高阶英汉词典等各类中英文词典类似,基本涵盖了全部常用中英文字词句的读音、释义及用法,是语言学习和写作的有利工具。

 

Copyright © 2004-2024 vtrois.com All Rights Reserved
更新时间:2026/4/5 15:02:56