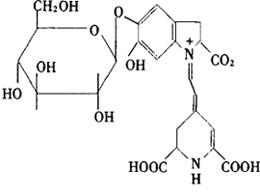
结构式

分子式:C24H26O13N2
相对分子质量:550(甜菜苷)
落葵红的鉴别
1.试剂和溶液
1.1 乙醇 分析纯。
1.2 丙酮 分析纯。
1.3 乙酸乙酯 分析纯。
1.4 三氯甲烷 分析纯。
1.5 乙醚 分析纯。
1.6 pH5.4的乙酸-乙酸钠缓冲液。
1.7 0.4mol/LHCl。
1.8 展开剂。
1.8.1 Me2CO∶CHCl3∶MeOH∶0.4mol/LHCl=5∶5∶14∶1.5(体积比);
1.8.2 CHCl3∶MeOH∶0.4mol/LHCl=11∶2∶2(体积比)。
1.9 吸附剂 硅胶G-0.3%CMC板。
2.操作步骤
2.1 本品易溶于水及稀乙醇,不溶于无水乙醇、丙酮、乙酸乙酯、氯仿、乙醚等有机溶剂。本品溶液在酸性或中性时为紫红色澄清液,但当pH>9时,则逐渐转变成黄色。
2.2 本品溶于pH5.4的乙酸-乙酸钠缓冲液的最大吸收波长为538nm,与对照品甜菜红相同。
2.3 以硅胶G-0.3%CMC板为固定相(105~110℃,活化3h),以Me2CO∶CHCl3:MeOH∶0.4mol/L HCl=5∶5∶14∶1.4(体积比)或CHCl3∶MeOH∶0.4mol/LHCl=11∶12∶2(体积比)为移动相,上行法层析展开,与对照(已知品)甜菜红有相同的Rf紫色斑点,其Rf分别为0.42和0.31。