网站首页  词典首页


请输入您要查询的字词:

 

字词 钾离子的测定
类别 中英文字词句释义及详细解析
释义

钾离子的测定


(一)四苯硼酸钠重量法

1.原理 微酸性溶液中,钾离子与四苯硼酸钠反应,生成稳定的四苯硼酸钾沉淀,经过滤、干燥、称量,测定钾离子含量。

2.适用范围 氯化钾、光卤石、海水、卤水等。

3.测定手续 吸取15.00ml样品溶液(含K+20~25mg),置入100ml烧杯中,加45ml水,1滴0.1%甲基红指示液,用10%醋酸调至红色,微热后,取下,在搅拌下逐滴加入6.5ml0.1N四苯硼酸钠溶液,放置10min,用已于120±2℃恒重的4号玻璃坩埚过滤,用5%乙醇四苯硼酸钾饱和溶液洗涤、转移沉淀至坩埚中,再继续洗涤3~5次后,抽干。用1ml无水乙醇沿坩埚壁洗1次,抽干。于120±2℃烘1h,冷却,称量。以后每次烘30min称量,直至恒重(两次称量差不超过0.0002g)。

4.计算

式中 G1——玻璃坩埚质量(g)

G2——玻璃坩埚加四苯硼酸钾质量(g)

W——测定取样品质量(g)

0.1091——四苯硼酸钾换算为钾离子的系数

注:0.1N四苯硼酸钠溶液 称取3.4g四苯硼酸钠溶于50ml无水乙醇中,加水稀释至100ml。

5%乙醇四苯硼酸钾饱和溶液 吸取15ml氯化钾溶液(含K+约25mg)置入100m1烧杯中,按照上述测定手续进行沉淀,将生成的四苯硼酸钾沉淀过滤,并以丙酮溶解沉淀,置水浴上微微加热。然后重结晶,过滤,用水洗涤沉淀数次。将沉淀于120℃烘干后,称取1g溶于50ml乙醇,加950ml水,充分振摇后过滤,备用(可用前次试验留用的四苯硼酸钾)。

(二)季胺盐-四苯硼酸钠溶量法

1.原理 在微酸性溶液中,钾离子与四苯硼酸钠反应生成稳定的四苯硼酸钾沉淀。过剩的四苯硼酸钠,以溴酚蓝作指示剂,用季胺盐标准溶液滴定,生成难溶的四苯硼季胺盐,达等当点时,季胺盐与溴酚蓝反应生成蓝色盐,借以指示终点,利用间接容量法测定钾离子。

2.适用范围 海水、卤水、光卤石等。

3.测定手续 吸取l0.00ml样液(含K+3~5mg)于150ml烧杯中,加水至30ml,加2ml硫酸镁-醋酸溶液,在不断搅拌下准确滴加10.00ml 1%四苯硼酸钠溶液,放置5min后,加入3~4滴0.1%溴酚蓝指示液,然后滴加1N氢氧化钠溶液至黄绿色(pH值约3.5),加入0.5ml pH3.5醋酸-醋酸钠缓冲溶液,0.3ml松节油,在充分搅拌下,用0.7%季胺盐标准溶液滴定至呈现蓝色为止。

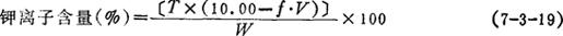
4.计算

式中 T——1ml四苯硼酸钠标准溶液相当于钾离子量(mg)

f-季胺盐标准溶液对四苯硼酸钠标准溶液的换算系数

l0.00——四苯硼酸钠标准溶液的加入量(ml)

V——滴定样品时季胺盐标准溶液的用量(ml)

W——测定用样品质量(g)

注:

(1)1%四苯硼酸钠标准溶液和0.7%季胺盐标准溶液的配制,见表7-1-16。

(2)四苯硼酸钠标准溶液可标定出1~5mgK+的系列T值,使扩大测定范围。

(3)硫酸镁-醋酸溶液 称取127g MgSO4·7H2O,溶于水中,加入59ml冰醋酸用水稀释至500ml。

(4)0.1%溴酚蓝指示液 0.1g溴酚蓝溶于10ml 95%乙醇中,加入10ml 0.1N氢氧化钠溶液,加水至100ml。

(6)pH3.5醋酸钠-醋酸钠缓冲溶液 2N醋酸与1N醋酸钠溶液按4∶1体积配制。

随便看

 

离鸟网收录3541549条中英文词条,其功能与新华字典、现代汉语词典、牛津高阶英汉词典等各类中英文词典类似,基本涵盖了全部常用中英文字词句的读音、释义及用法,是语言学习和写作的有利工具。

 

Copyright © 2004-2024 vtrois.com All Rights Reserved
更新时间:2026/4/9 0:34:56