网站首页  词典首页


请输入您要查询的字词:

 

字词 乳糖
类别 中英文字词句释义及详细解析
释义
古代名物 > 飲食類 > 茶食部 > 茶點糖果 > 乳糖
乳糖  rǔtáng

亦稱“乳餳”,今稱吹糖。以石蜜、乳酪攙合製成之糖。唐·李匡乂《資暇集》卷下:“余弱冠前,步月洛之綏福里,方見夜作,問之,云:‘乳餳。’時新開是肆,每斤六十文、明日市得而歸。不三數月,滿洛陽盛傳也。”宋·孔平仲《孔氏談苑·收冰法》:“川中乳糖獅子,冬至前造者,色白不壞;冬至後造者,易敗多蛀。”宋·周密《武林舊事·元夕節物》:“節食所尚則乳糖丸子、䭔𩛇、科斗粉豉湯、水晶膾、韭餅及南北珍果。”明·李時珍《本草綱目·果五·石蜜》:“以石蜜和牛乳、酥酪作成餅塊者爲乳糖。”

乳糖lactose

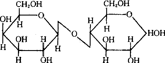
D-吡喃半乳糖基与D-吡喃葡萄糖基通过β1→4糖苷键连接而成的双糖。结构如下。不易溶于水,微甜,有还原性。在植物界很少见,曾在连翘属的花药中发现,在人和哺乳动物的乳汁中含量较多,牛乳中含4%~5%,人乳中含5%~8%。因无吸湿性,食品和医药工业上作为辅料。

乳糖lactose

系一种双糖。由半乳糖和葡萄糖各1分子组成。主要存在于乳汁中,为婴幼儿的重要营养成分。如果乳糖酶缺乏则乳糖消化吸障碍,临床可有相应表现。

乳糖

由一分子半乳糖和一分子葡萄糖组成的一种还原性双糖。存在于动物乳汁中,牛奶中含4—6%,可从干酪的副产品乳清制备。植物中也有存在。

乳糖lactose

是由半乳糖和葡萄糖组成的二糖,含于乳汁中。

乳糖

milk sugar;lactose


乳糖

lactose

随便看

 

离鸟网收录3541549条中英文词条,其功能与新华字典、现代汉语词典、牛津高阶英汉词典等各类中英文词典类似,基本涵盖了全部常用中英文字词句的读音、释义及用法,是语言学习和写作的有利工具。

 

Copyright © 2004-2024 vtrois.com All Rights Reserved
更新时间:2026/4/9 13:43:01