偏离-份额分析法shift-share analysis
以一定时期内全国或大区国民生产总值(评价一、二、三次产业结构)、或工农业总产值(评价农、轻、重结构)、或工业总产值(评价工业结构)的年增长率为基准,测算某一区域按照全国平均增长率可能形成的假定份额,进而将这一假定份额同区域实际增长额进行比较,分析区域经济增长相对于全国或大区平均水平的偏离状况,这种偏离主要是由区域产业结构因素和区位因素造成的。
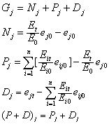
若:Gj——j区域在计算期内的经济增长总量(或GNP、工业生产总值等);
Nj——j区域份额;
Pj——j区域结构偏离份额;
Dj——j区域区位偏离份额;
(P+D)j——j区域总偏离额;
ej表示j区域经济总量;
E表示全国或大区相应经济总量;
i表示第i产业(i=1,2,3,…,n);
0表示基期;
t表示末期。
则有:

如果计算的结构偏离份额呈正值,则表明区域结构素质较好,促进了区域经济增长;相反,呈负值则说明结构素质较差,影响了区域经济增长。