网站首页  词典首页


请输入您要查询的字词:

 

字词 噬铁素
类别 中英文字词句释义及详细解析
释义

噬铁素siderophores

微生物和植物产生的对环境中Fe3+有特异性结合能力的低分子有机化合物,也称铁载体。在环境中铁素缺乏或可利用性铁含量很低时,某些真菌和细菌及一些禾本科植物能产生一类分子量为500~1000的特殊物质,对Fe3+有高度亲和性,与之配位形成稳定的八面体螯合物,这些螯合物通过细胞膜被吸收,为细胞补充铁素营养。
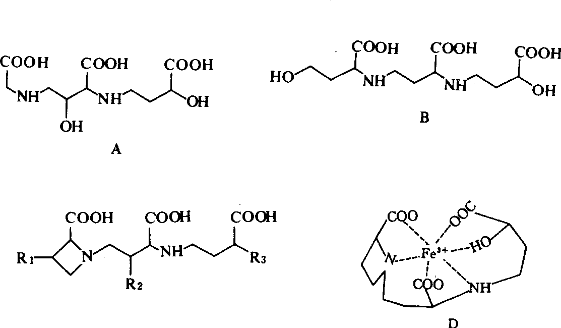
类型 不同微生物和植物产生噬铁素的化学结构差别很大,可分4类。
氧肟酸类 结构通式(图1-A),与Fe3+的配位基团是氧肟基这类噬铁素有5个亚类。
黄—绿色水溶性荧光色素类 具一个喹啉环结构,产生由黄至绿不同颜色的荧光,除荧光核心外,它们由一定数量的肽键相连成环状结构,主要差别是肽链中氨基酸的数量和种类不同。这类噬铁素由荧光假单胞杆菌第一组的成员产生。鉴定出的第一个成员是植物根围假单胞细菌B10菌株分泌的假单胞菌素B10(pseudobactin B10),它是一个环状六肽,氨基酸组成是:1-赖氨酸、D-苏氨酸-β-羟基-天门冬氨酸、1-丙氨酸、D-色氨酸、1-丙氨酸、D-Nδ-羟基-鸟氨酸。其中鸟氨酸上的Nδ-氨基氮原子通过酰胺键与喹啉衍生物相连接(图1-B)。


图1 氧肟酸类噬铁素的结构及其各亚类代表成员的化学结构
A.氧肟酸类结构通式,L为其它配位基,n+m=3,n=2或3 B.黄—绿色水溶性荧光色素类 C.高铁环六肽类D.高铁氧肟胺类 E.镰孢氨酸类,n=3时为环状结构 F.柠檬酸类化合物 R=COOH或H,n=2或4


高铁环六肽类 由真菌产生,结构中都含有Nδ-酰基-Nδ-羟基鸟氨酸、甘氨酸和丝氨酸或丙氨酸以不同组合构成的环状3肽,不同噬铁素间的差别是氧肟酸盐主链上烷基不同。它们与Fe3+配位后的稳定性很强,配位中心离子Fe3+可被还原成Fe2+而释放。主要成员有高铁环六肽、高铁环六肽A、红酵母菌酸、二孢炱菌酸及白霉素δ1等。高铁环六肽作为典型成员,最初是从稗粒黑粉菌中分离到的,也是用铁饥饿方法分离到的第一个噬铁素,在真菌性噬铁素中较普遍,结构简单(图1-C)。
高铁氧肟胺类 由重复的1-氨基-ω-N-羟基-胺烷(戊烷或丁烷)单位所组成,线状或环状结构。差别在于功能酰基的不同,80%以上由放线菌产生,化学性质与高铁环六肽相似。主要成员有高铁氧肟胺B、高铁霉素A1等。去铁高铁氧肟胺B的甲磺酸盐(图1-D)能延缓因输血引起的铁质沉着病,已被商品化生产。
镰孢氨酸类 线状或环状结构,基本构成单位是Nδ-羟基鸟氨酸,Nδ原子的酰基是无水甲羟戊酸,α-氨基酸或游离或乙酰化。主要由粉红镰孢、古巴镰孢等真菌产生。代表成员是镰孢氨酸(图1-E)。
含柠檬酸类化合物 结构中含有柠檬酸,主要差别是R基和n的不同,与Fe3+的配位基除氧肟酸基外,还有醇式羟基、羧基等(图1-F)。它们由亲缘关系很远的细菌如节杆菌、巨大芽孢杆菌及兰细菌所产生。主要成员有气杆菌素、节杆菌素及裂殖菌素等。


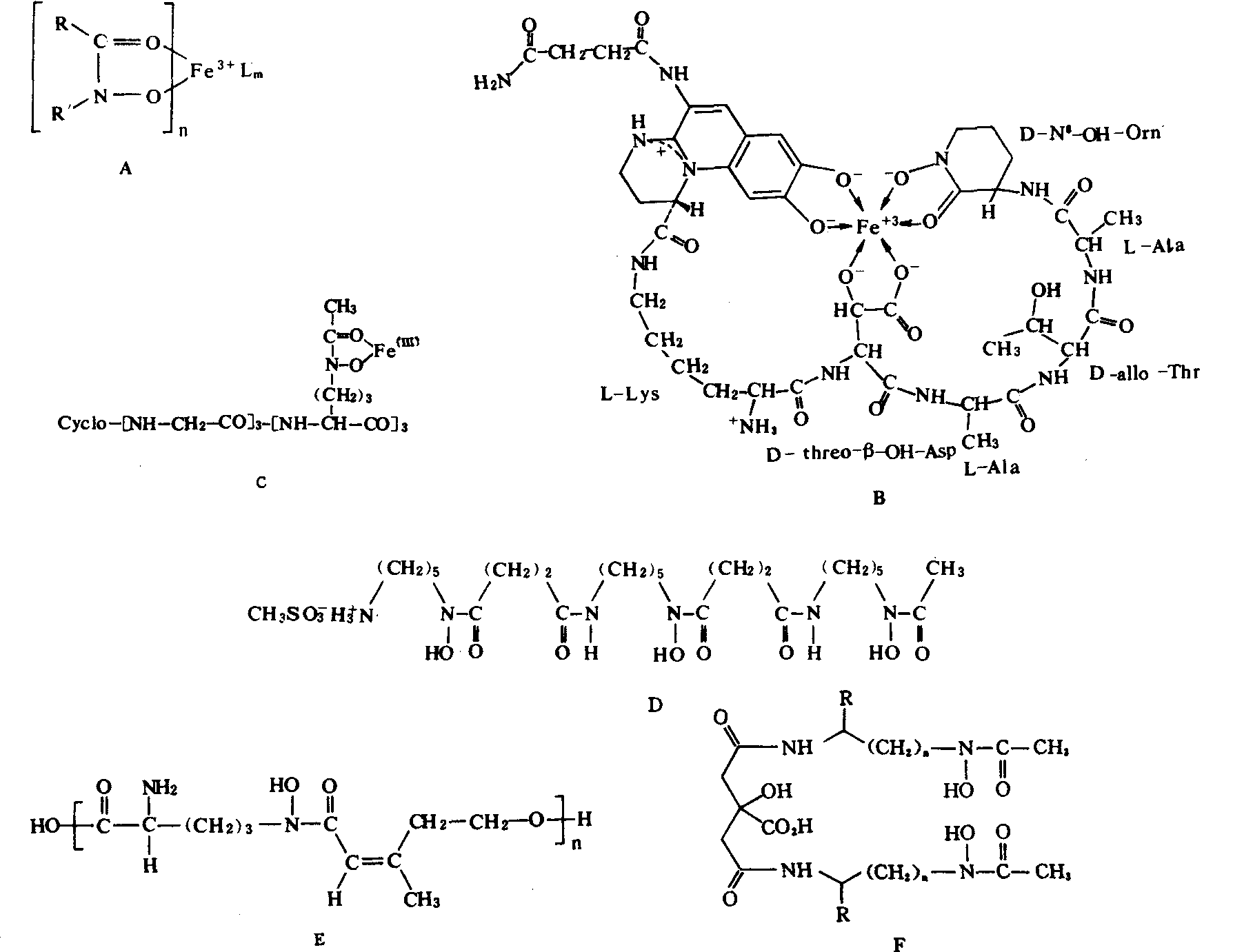
图2 邻苯二酚类结构及其代表成员化学结构
A.邻苯二酚类 B.六面体螯合物 C.线状化合物 R=OH时为土壤杆菌素,R=H时为副球菌素


邻苯二酚类 结构通式(图2-A)。主要由细菌产生,与Fe3+的配位基是邻苯二酚。形成螯合物的稳定常数比氧肟酸类还要高。有环状和线状两类结构。环状化合物主要是肠杆菌素,由肠杆菌科各属细菌产生,最早分离于铁饥饿状态下枯草芽孢杆菌(Bacillus subtilis)培养物中,由3个2,3-二羟基苯丝氨酸构成,在中性和碱性条件下与Fe3+形成热稳定的六面体螯合物(图2-B)。它与植物生理学的关系尚未证明,只是作为邻苯二酚类噬铁素的模式成员。线状化合物主要有土壤杆菌素和副球菌素,二者结构差别只是R基的不同(图2-C)。分别由根癌土壤杆菌B6菌株和脱氮副球菌产生。霍乱弧菌产生的弧菌素是环状结构。
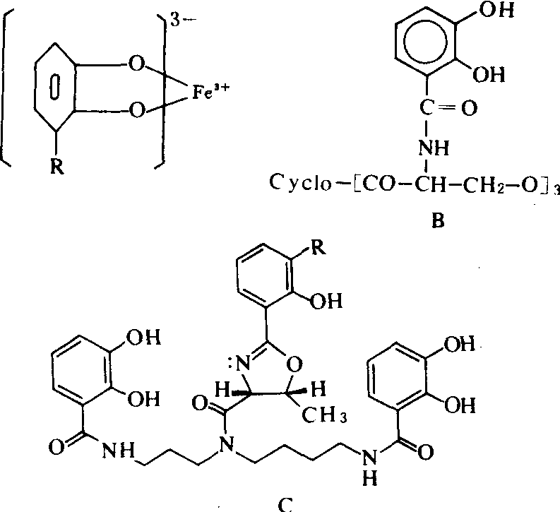
其它类型 主要是含氨基或亚氨基的各种羧酸,典型代表是苜蓿根瘤菌DM4菌株产生的根瘤菌素(图3)。它们与Fe3+配位形成稳定螯合物后与质膜上特异蛋白结合而进入细胞。
植物噬铁素 大麦、小麦、黑麦、燕麦、玉米和啤酒大麦等禾谷类植物在缺铁协迫下根系能分泌一类在功能上与微生物噬铁素相似的线状亚胺羧酸。其化学结构中均含有3个羧基、2个或3个胺基和若干个羟基。已鉴定出的有3-羟基麦根酸,麦根酸、2′-脱氧麦根酸、阿凡酸、啤麦根酸、差向异构-3-羟基麦根酸和烟胺(nicotianamine)(图4)。其中以脱氧麦根酸最常见,它能与Fe3+,Fe2+,Zn2+和Cu2+等离子形成络合物。


图3 根瘤菌素(rhizobactin)的化学结构
(括号内字母表示Fe3+结合中心)


功能 微生物和植物在缺铁条件下产生噬铁素是其在进化过程中形成的对环境的适应性。
生物学功能 在潜在性缺铁土壤中,铁素以氢氧化物形式存在,溶解度仅10-38M,在pH7时可溶性Fe离子的浓度仅为10-17M/升,不能满足植物和微生物正常生长需要。噬铁素对Fe3+有很强络合能力,可把Fe(OH)3凝胶溶解。微生物在缺铁时分泌大量噬铁素,主要有三方面的功能。
自身提供铁素营养 如根癌土壤杆菌产生的土壤杆菌素使其更有效地吸收利用土壤中的铁,成为该细菌在寄主体外存活的重要因素。


图4 植物噬铁素的化学结构式(A—C)及脱氧麦根酸—Fe3+络合物结构(D)示意图
(C)中,R1=R2=H,R3=NH2时为异烟胺nicotianamine; R1=H,R2=R3=OH时为麦根酸; R1=R2=H,R3=OH时为2′-脱氧麦根酸; R1=R2=R3=OH时为3-羟基麦根酸。


被植物吸收利用 分泌到周围环境中的铁一噬铁素螯合物,可被土壤有机质吸附,并被植物吸收利用。植物吸收螯合物中铁的机制有3种: ❶载体机制或渗透机制。如燕麦根细胞原生质膜上,存在着氧肟胺类噬铁素高铁氧肟胺B的结合位点,可以直接吸收含铁的噬铁素,玉米吸收高铁环六肽的机制也是此类。
❷穿梭机制。含铁噬铁素在植物细胞外解离,植物只吸收其释放的无机铁离子。
❸直接去除机制。植物存在受体,可以直接吸收螯合物中的无机铁离子。
降低有害微生物数量 黄一绿色荧光色素类噬铁素等除能与铁素络合外,还具有抑菌作用,使土壤和植物根围有害微生物数量降低,使植物健康生长,表现出促生作用。
在植物抗病中作用 由于噬铁素仅在缺铁环境中产生,其生理功能是螯合Fe3+,它在植物抗病中的作用主要限于缺铁性土壤。荧光假单胞杆菌一些菌株对许多病害,如大麦和小麦全蚀病(Gaeumannomycesgraminis f.sp.tritici),亚麻枯萎病(Fusarium lini),黄瓜、小萝卜和豌豆枯萎病(F.oxysporum f.spp.cucumerinum、conglutinans and pisi),小麦根腐病,产碱杆菌(Alcaligenes sp.) MFAl菌株对香石竹枯萎病(oxysporum)等均有明显的防治效果。这种作用与它们产生的噬铁素有关。用荧光假单胞杆菌B10菌株或其噬铁素假单胞菌素B10处理种子均可显著降低大麦和亚麻在病害助长性土壤中的死苗及病苗率。在马铃薯上还发现根围真菌数量减少59%~74%。噬铁素在离体条件下对多种病原真菌及细菌都有抑制活性。黄—绿色荧光色素类噬铁素对胡萝卜欧氏杆菌有溶菌作用; 荧光假单胞菌产生噬铁素的能力与其抑制尖镰孢厚垣孢子萌发的能力有直接相关性。噬铁素的粗提物加入土壤中可抑制厚垣孢子萌发。不能产生噬铁素的突变体在体外没有抑菌活性,在土壤中虽能定殖植物根系,但不能抑制病菌厚垣孢子萌发,没有防病作用。产生噬铁素的有益微生物的细胞膜上具有对Fe3+—噬铁素络合物有专一性的受体,并通过一定的运输途径为自身细胞吸收利用,许多单子叶植物中也有类似的吸收系统,而有害微生物缺乏这种络合物的受体,因此当痕量的Fe3+被噬铁素络合后,病菌因无铁素营养而受到抑制。但噬铁素对某些气传病菌如香蕉炭疽病菌和灰葡萄孢孢子萌发和吸器形成有刺激作用,因为Fe3+对这些真菌有抑制作用,噬铁素络合环境中的铁后解除了这种抑制效应。
随便看

 

离鸟网收录3541549条中英文词条,其功能与新华字典、现代汉语词典、牛津高阶英汉词典等各类中英文词典类似,基本涵盖了全部常用中英文字词句的读音、释义及用法,是语言学习和写作的有利工具。

 

Copyright © 2004-2024 vtrois.com All Rights Reserved
更新时间:2026/4/5 18:35:20