圆柱投影yuanzhu touying
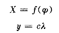
以圆柱面作为投影面,使圆柱面与地球相切或相割,将地球面上的经纬线投影到圆柱面上,然后把圆柱面沿一条母线剪开展为平面而成。由于圆柱面与地球相切或相割的位置不同,有正轴圆柱投影、横轴圆柱投影和斜轴圆柱投影。正轴圆柱投影是圆柱的轴与地轴重合,横轴圆柱投影是圆柱的轴与地轴垂直,斜轴圆柱投影是圆柱的轴与地轴斜交。正轴圆柱投影的经纬线形状比较简单,称为标准网。纬线为平行直线,经线为与纬线垂直且间隔相等的平行直线。在这类投影图上任意一点的位置是用直角坐标表示的。设以某一条经线为X轴,赤道为Y轴,由于纬线投影为平行于赤道的直线,所以X坐标仅依纬度的变化而变化,即X是纬度q的函数,一般用X=f(q)式表达。经线为与赤道垂直的平行直线,经线间的间隔与相应的经差λ成正比,故Y坐标与经差成正比,即y=cλ(c—常数)。因此正轴圆柱投影的一般公式为:

c值由切圆柱或割圆柱的条件决定。由于决定x函数形式的方法不同,有等角圆柱投影、等积圆柱投影和任意(包括等距)圆柱投影。无论哪一种圆柱投影,其变形分布有着大致相同的规律。凡是切圆柱投影,赤道是一条没有变形的线,亦称标准纬线。从标准纬线向北、向南变形逐渐增大;凡是割圆柱投影,相割的两条纬线没有变形,是两条标准纬线,离标准纬线愈远,变形愈大。等变形线与纬线平行,呈平行线状分布。圆柱投影适宜绘制赤道附近和沿赤道两侧呈东西方向延伸地区的地图。
在圆柱投影中应用比较广泛的是正轴等角圆柱投影,又名墨卡托投影。在这个投影图上赤道是标准纬线,其他各纬线的长度比均大于1。为了保持等角特性,任一点的经线长度比均等于该点的纬线长度比,因此除赤道处经线长度比等于1之外,其他地方的经线长度比也随纬度的增加而增大。例如在纬度60°地方,纬线与经线的长度比均为2,纬度80°地方,经线和纬线长度比均等于5.7。由于经线长度比随纬度增高而增大,故图上纬线间隔从赤道向两极逐渐增大。极地不能表示出来。
墨卡托投影具有一个很重要的特性,就是把等角航线(又称斜航线)表现为直线,所以它在编制航海图和航空图中被广泛采用。例如我国编绘比例尺小于1∶2.5万的海图采用的是这个投影。此外,由于这个投影在低纬度地区变形小,而且经纬线形状简单,常用于绘制赤道附近的分国地图。例如我国地图出版社出版的一整套分国地图中,沿赤道的分区地图均采用这个投影。