网站首页  词典首页


请输入您要查询的字词:

 

字词 均衡的惟一性、稳定性
类别 中英文字词句释义及详细解析
释义
均衡的惟一性、稳定性

均衡的惟一性、稳定性uniqueness,stability of equilibrium

在一般均衡分析中,设Zi(p)=Di(p)-Si(p)为第i种商品的超需函数,则均衡价格p就是使Zi()=0,(i=1,2,…,n)的向量。 如果存在一个p能满足这个方程组,是否还有别的p也能满足它呢?这就是均衡的惟一性问题。
常见的惟一性定理基于泛替代性(gross substitutes)假设,对两种商品i和j,如果当i≠j时必有∂Zj;(p)/∂pi>0,则称i和j在价格p上有泛替代性。当所有不同商品之间都有泛替代性时,可以证明,如果p为均衡,则它必惟一。
均衡稳定性是研究当价格向量p0时,随着时间的推移,从p0出发的价格轨道p是否会收敛于p的问题。
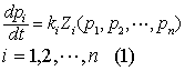
瓦尔拉斯把非均衡价格收敛到均衡价格的过程设想为一个价格调整过程(参见“摸索过程”),萨缪尔森把这个思想表达为下述微分方程组:

其中ki是正常数,称为调整速度。
由于在均衡价格处有Zi()=0,i=1,2,…,n,故就是微分方程组(1)的平衡解。对于定义域中任意的初始价格p0≠p,如果当t→∞时有p(p0,t)→,则称均衡为全局(渐近)稳定的;如果对p存在一个邻域,从此邻域内的任一个p0≠p出发的轨道,当t→∞时有p(p0,t)→则称均衡p为局部稳定的。
把Zi(p)在附近展开,略去二次以上的高阶项得近似的线性微分方程组

其中
方程组(2)的均衡p为稳定的必要充分条件是矩阵A=[aij]的所有特征值均有负实部。由(2)的稳定性可得到(1)的局部稳定性。关于(1)的全局稳定性有结果:如果对所有p≠,有·z(p)>0,则均衡是全局稳定的。
☚ 价格调整的动力系统模型   价格调整函数 ☛
00000689
随便看

 

离鸟网收录3541549条中英文词条,其功能与新华字典、现代汉语词典、牛津高阶英汉词典等各类中英文词典类似,基本涵盖了全部常用中英文字词句的读音、释义及用法,是语言学习和写作的有利工具。

 

Copyright © 2004-2024 vtrois.com All Rights Reserved
更新时间:2026/4/8 1:33:53