网站首页  词典首页


请输入您要查询的字词:

 

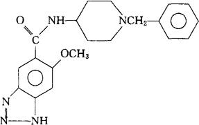
字词 三唑必利
类别 中英文字词句释义及详细解析
释义 三唑必利

C20H23N5O2=365.43

CAS-86365-92-6

N-(1-苄基-4-哌啶基)-6-甲氧-1H-苯并三唑-5-甲酰胺。

N-(1-Benzyl-4-piperidyl)-6-methoxy-1H-benzotrizole-5-carboxamide.

镇吐药,健胃药。

卓唑必利。

Trazolopride.

INN,USAN.

随便看

 

离鸟网收录3541549条中英文词条,其功能与新华字典、现代汉语词典、牛津高阶英汉词典等各类中英文词典类似,基本涵盖了全部常用中英文字词句的读音、释义及用法,是语言学习和写作的有利工具。

 

Copyright © 2004-2024 vtrois.com All Rights Reserved
更新时间:2026/4/8 13:17:52