工资指数gōng zī zhǐ shù ндекс з ты)工资指数平均工资指数的简称。表示工资水平变化的指数。以一定时期和地点的工资水平为基准,其他时期和地点的工资水平与基准工资水平相比较及其百分比。例如以1978年北京地区职工工资水平为100,由于职工工资水平逐步提高,1990年北京地区职工工资水平提高100%,相当于基准工资的200%;天津地区职工工资水平提高95%,相当于基准工资的195%。由于工资有名义工资和实际工资之分,工资指数也可以相应地分为名义工资指数和实际工资指数。其中实际工资指数更为重要。其计算公式为: 
工资指数[参] 平均工资指数 工资指数表示工资水平变化的指数。是以某一时点的工资水平为基准,其他时点工资水平与基准工资水平的百分比。由于工资有名义工资和实际工资之分,所以工资指数也可以相应地分为名义工资指数和实际工资指数两种。其中实际工资指数更为重要,其计算公式为: 
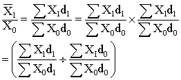
工资指数又称平均工资指数,是反映不同时期职工平均工资对比关系的相对数,是两个可比的平均工资指标的比值。其计算公式为: 平均工资指数= 工资指数可以一定程度地反映职工工资水平的变动程度和趋势,因而对于制订收入分配政策各项改革决策、安排人民生活和资金积累、进行理论分析研究,都是重要的数据。下面以工资动态指数为例,说明工资指数的应用和计算方法: 1.与有关指标作平等对比。首先,工资水平变动 (用工资指数表示) 与人口数变动、社会产品产量变动、劳动生产率变动、积累基金与消费基金比例变动、企业经济效益水平变动都有密切关系。工资指数是研究工资水平变动与这些因素变动之间适当比例的数据。其次,工资指数是反映职工实际工资变动程度的手段,用货币工资指数除以职工生活费用价格指数可求得实际工资指数,实际工资指数可基本上表示职工实际收入的变动方向和程度。计算公式如下: 实际工资指数= 2.进行因素分析。工资水平变动受某些因素的影响,同时它又是其他现象变动的影响因素。运用工资指数可分析工资水平变动的原因以及由于它的变动给有关变量变动所造成的影响。 (1)把工资指数作为工资总额变动的因素指数,用于说明工资水平变动对工资总额变动的影响程度。 工资总额指数=平均工资指数×职工平均人数 设以T1、T0分别表示报告期和基期职工人数,X1、X0分别表示各组职工工资水平,X表示总平均工资,则上式可表示为:  根据这一公式可计算出,由于平均工资的变动和职工人数的变动分别使工资总额增加或减少的数额。 (2)把工资指数作为某些原因造成的后果进行分析,说明工资水平变动受各因素变动的影响程度。总平均工资的变动可视为以下三个因素影响的结果: 一是各组平均工资的变动;二是职工总数中各组职工比重的变动; 三是各组平均工资和人数比重共同变动。总平均工资变动称为总平均工资可变组成指数,三种因素的变动程度依次称为总平均工资固定组成指数、结构影响指数、工资水平与结构变动共同影响指数。设以X1、X0分别表示报告期和基期总平均工资,X1、X0分别表示各组平均工资水平,d1、d0分别表示各组人数比重,则总平均工资指数与各因素指数的关系可用公式表示为: 根据这一公式可计算出,由于各组工资水平的变动、各组职工人数比重的变动以及两种因素共同变动分别使总平均工资提高或下降的数额 |