网站首页  词典首页


请输入您要查询的字词:

 

字词 乔丹的货币供应方程式
类别 中英文字词句释义及详细解析
释义 乔丹的货币供应方程式

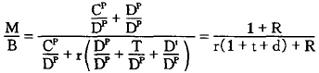
美国经济学家J·乔丹在其主要著作《决定货币存量的各个要素》中,基于弗里德曼-施瓦兹和P·卡甘的货币供应方程式而提出的更为复杂的货币供应量决定的理论模型。J·乔丹认为,在考察货币供给量的决定时,应当考虑现行银行业务对不同地区、不同性质的银行以及不同种类的存款采用差别性存款准备率的因素。他指出,差别性存款准备率的存在,使各银行存款总额的消长或银行存款结构的变化都呈现复杂的情况,这将影响各银行的准备金、放款与投资,使银行信用趋于扩张或收缩,导致派生存款的变动而使货币存量发生变动。于是,乔丹将通货比率、定期存款比率、政府存款比率及银行准备率等行为参数引入货币供应方程式。以(Cp)表示社会公众持有的通货数量,(R)表示商业银行存款准备金,(Dp)表示商业银行对社会公众的活期存款负债,(T)表示商业银行对社会公众的定期存款负债,(Dt)表示商业银行对政府部门的存款负债,(B)表示基础货币量的大小,(r)表示商业银行的存款准备率。由于:

M=CP+DP (1)

B=R+CP (2)

则由(1)式和(2)式得

由(3)式得

R=r(DP+T+Dt) (8)

将(8)式带入(7)式,得

由(9)式得

(10)

由(10)式得

(11)式就是J·乔丹的货币供应方程式。

式中,r为商业银行的存款准备金率;R为通货比率;t为定期存款比率;d为政府存款比率。

在该方程式中,货币供给量取决于基础货币与货币乘数之积。基础货币由货币当局的行为控制,货币乘数()分别是行为参数r、t和d的递减函数,这意味著商业银行各种存款的平均准备率、定期存款比率和政府存款比率的变化将对货币乘数产生相反的影响。可见,在乔丹的货币供应方程式中,存款结构的变化对货币供应量的决定有著重要的影响,这是弗里德曼-施瓦兹与卡甘货币供应方程式中所忽略的因素。

随便看

 

离鸟网收录3541549条中英文词条,其功能与新华字典、现代汉语词典、牛津高阶英汉词典等各类中英文词典类似,基本涵盖了全部常用中英文字词句的读音、释义及用法,是语言学习和写作的有利工具。

 

Copyright © 2004-2024 vtrois.com All Rights Reserved
更新时间:2026/5/25 13:57:22