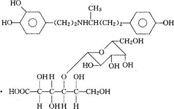
乳糖酸多巴酚丁胺
C18H23NO3·C12H22O12=659.69 CAS-104564-71-8 (±)-4-[2-[[3-(4-羟苯基)-1-甲基丙基]氨基]乙基]-1,2-苯二醇,4-O-β-D-半乳糖吡喃糖基-D-葡萄糖酸盐。 (±)-4-[2-[[3-(4-Hydroxyphenyl)-1-methylpropyl]amino]ethyl]-1,2-benzenediol,4-O-β-D-galactopyranosyl-D-gluconate(salt). (±)-4-[2-[[3-(对-羟苯基)-1-甲基丙基]氨基]乙基]-焦儿茶酚乳糖酸盐。 (±)-4-[2-[[3-(p-Hydroxyphenyl)-1-methylpropyl]amino]ethyl]-pyrocatechol lactobionate(salt). 强心药。 Dobutamine Lactobionate,LY207506. USAN.  |