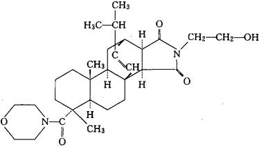
伊伐莫德
C30H44N2O5=512.69 CAS-53003-81-9 4-[[(3aR,3bS,5aR,6R,9aR,9bR,11R,11aR)1,2,3,3a,4,5,5a,6,7,8,9,9a,9b,10,11,11a-十六氢-2-(2-羟乙基)-12-异丙基-6,9a-二甲基-1,3-二氧代-3b,11-亚乙烯基-3bH-萘并[2,1-e]异氮(杂)茚-6基]羰基]吗啉。 4-[[(3aR,3bS,5aR,6R,9aR,9bR,11R,1iaR)-1,2,3,3a,4,5,5a,6,7,8,-9,9a,9b,10,11,11a-Hexadecahydro-2-(2-hydroxyethyl)-12-isopropyl-6,9a-dimethyl-1,3-dioxo-3b,11-etheno-3bH-naphth[2,1-e]isoindol-6-yl]carbonyl]morpholine. N-(2-羟乙基)马来酐海松酰亚氨基酰吗啉。 N-(2-Hydroxyethyl)maleopimarimidyl morpholide. 免疫调节药,肝防护药。 Ivarimod,RU 18492. INN,USAN.  |