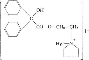
依吡碘铵
C21H26INO3=467.35 CAS-3478-15-7 CAS-54505-25-8(etipirium) 碘化1-(2-羟乙基)-1-甲基吡咯烷鎓二苯乙醇酸酯。 1-(2-Hydroxyethyl)-1-methylpyrrolidinium iodide benzilate(ester). 1-[2-[(羟基二苯基乙酰基)氧]乙基]-1-碘化甲基吡咯烷噁酯。 1-[2-[(Hydroxydiphenylacetyl)oxy]ethyl]-1-methylpyrroilidinium iodide. 止血药,解痉药。 Etipirium Iodide,Efipyrium Iodide. INN,USAN. 
|