网站首页  词典首页


请输入您要查询的字词:

 

字词 假连翘
类别 中英文字词句释义及详细解析
释义 假连翘

【概况】:

异名 花墙刺、篱笆树、番仔刺、洋刺(《福建中草药》),桐青(《福建药物志》)。

基源 为马鞭草科假连翘属植物假连翘的果实。

原植物 假连翘Duranta repens L.

形态 直立常绿灌木,高2~4m。

枝条常下垂或卧地,有刺或无刺。单叶对生或轮生,叶柄短,叶片卵状椭圆形或倒卵形,长2.5~9cm,宽2~4.5cm,先端短尖,边缘在中部以上有锯齿,基部楔形。

总状花序腋生或顶生,排列呈圆锥状,柔弱而开展,长约10cm,花萼管状,5裂,先端5齿裂;花冠蓝色或白色,先端5裂,裂片不等大;雄蕊4,花丝2长2短,内藏,著生于花冠管中部;子房上位,柱头头状。果实球形,熟时金黄色,为扩大的宿萼所包围。

花期全年,果熟期秋冬季。(图见《中国高等植物图鉴》.第3册.图5113)

生境与分布 栽培于路旁、公园等处,多修剪作绿篱。

分布于福建、广东等地。

。【生药】:

采集 叶全年可采,果实秋季成熟时采,鲜用。

【化学】:

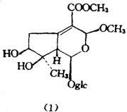
果实含β-谷甾醇,乌苏酸及猕猴桃碱,葡萄糖、果糖等[1]。从果实中又得新的环烯醚萜甙匍匐假连翘甙(Repenoside)(1)和已知化合物假连翘甙Ⅰ,Ⅱ(Durantoside Ⅰ,Ⅱ)[2]

参考文献 [1] 江苏省植物研究所等.新华本草纲要.第1册.上海科学技术出版社,1988∶411 [2] CA 1993;118∶230143h

【药性】:

性味 甘、微辛,温。

有小毒。

主治 截疟,下胎。

使用注意 孕妇忌用。

【临床应用】:

单方应用 ❶ 《福建中草药》:“治疟疾:假连翘果15~20粒,水煎,于发作前2小时服(孕妇忌服)。”
❷ 《福建中草药》:“治跌打胸痛:鲜假连翘15g,捣烂,热酒冲服。”

随便看

 

离鸟网收录3541549条中英文词条,其功能与新华字典、现代汉语词典、牛津高阶英汉词典等各类中英文词典类似,基本涵盖了全部常用中英文字词句的读音、释义及用法,是语言学习和写作的有利工具。

 

Copyright © 2004-2024 vtrois.com All Rights Reserved
更新时间:2026/5/25 9:12:10