分段通汽时干燥纸的耗热量及蒸汽消耗量的计算
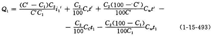
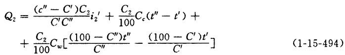
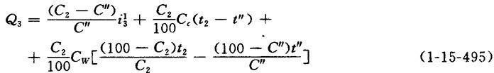
1.耗热量的计算 【说明】 今以1kg风干纸作为基准,以三段通汽为例进行计算。 (1)第一段烘缸中的理论耗热量Q1 【公式】  式中 Q1——第一段烘缸中的理论耗热量(kJ/kg) C1、C2——进出干燥部纸的干度(%) C′——出干燥部第一段烘缸纸的干度(%) t1——进干燥部纸的温度(℃) t′——出第一段烘缸纸的温度(℃) i1′——第一段烘缸平均干燥温度的饱和蒸汽热含量(kJ/kg) Cω——水的比热[kJ/(kg·C)],C。=4.1868kJ/(kg·C) Cc——纤维的比热[kJ/(kg·℃)],部分纤维的比热见表1-15-45 表1-15-45 部分纤维的比热Cc  (2)第二段烘缸中的理论耗热量Q2 【公式】  式中 Q2——第二段烘缸中的理论耗热量〔kJ/(kg·℃)〕 C″——出第二段烘缸纸的干度(%) t″——出第二段烘缸纸的温度(℃) i2′——第二段烘缸平均干燥温度的饱和蒸汽热含量(kJ/kg) 其它同上 (3)第三段烘缸的理论耗热量Q3 【公式】  式中 Q3——第三段烘缸的理论耗热量[kJ/(kg.C)] t2——出干燥部纸的温度(℃) i3′——第三段烘缸平均干燥温度的饱和蒸汽热含量(kJ/.kg) 其它同上 2.耗汽量的计算 【说明】 参考上述单段通汽耗汽量的计算。在计算分段通汽(2~3段)的耗汽量时.应就各段的具体情况分别估算其所需热量。然后根据进入第三段烘缸组的蒸汽压力,求出所需蒸汽量,再据此倒推求得进入水汽分离器的蒸汽量和冷凝水量。按同一方法,求得第二段烘缸组的耗汽量以及来自第一组的泛汽量。总耗汽量即相当于第一段烘缸组耗汽量和进入第一个水汽分离器的泛汽量之和。 |