网站首页  词典首页


请输入您要查询的字词:

 

字词 匹维溴铵
类别 中英文字词句释义及详细解析
释义 匹维溴铵

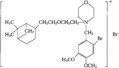
C26H41Br2NO4=591.42

CAS-53251-94-8

CAS-59995-65-2(pinaverium)

4-(6-溴藜芦基)-4-[2-[2-(6,6-二甲基-2-去甲蒎基)乙氧]乙基]吗啉鎓溴化物。

4-(6-Bromoveratryl)-4-[2-[2-(6,6-dimethyl-2-norpinyl)ethoxy]ethyl]morpholinium bromide.

4-[(2-溴-4,5-二甲氧苯基)甲基]-4-[2-[2-(6,6-二甲基双环[3.1.1]庚-2-基)乙氧]乙基]吗啉鎓溴化物。

4-[(2-Bromo-4,5-dimethoxyphenyl)methyl]-4-[2-[2-(6,6-dimethylbicyclo[3.1.1]hept-2-yl)ethoxy]ethyl]morpholinium,bromide.

解痉药,局部麻醉药。

用于治疗胃肠功能紊乱。

Pinaxerium Bromide,Dicetal,Dicetel,Eldicet,L 1717,LAT 1717.

INN,USAN.

随便看

 

离鸟网收录3541549条中英文词条,其功能与新华字典、现代汉语词典、牛津高阶英汉词典等各类中英文词典类似,基本涵盖了全部常用中英文字词句的读音、释义及用法,是语言学习和写作的有利工具。

 

Copyright © 2004-2024 vtrois.com All Rights Reserved
更新时间:2026/4/8 17:49:33