网站首页  词典首页


请输入您要查询的字词:

 

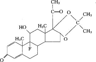
字词 去氧缩松
类别 中英文字词句释义及详细解析
释义 去氧缩松

C24H31FO5=418.50

CAS-2135-14-0

9-氟-11β,16α,17-三羟孕甾-1,4-二烯-3,20-二酮与丙酮形成16,17-环缩醛。

9-Fluoro-11β,16α,17-trihydroxypregna-1,4-diene-3,20-dione cyclic 16,17-acetal with acetone.

皮质激素类药。

地西奈德。

Descinolone Acetonide.

USAN.

随便看

 

离鸟网收录3541549条中英文词条,其功能与新华字典、现代汉语词典、牛津高阶英汉词典等各类中英文词典类似,基本涵盖了全部常用中英文字词句的读音、释义及用法,是语言学习和写作的有利工具。

 

Copyright © 2004-2024 vtrois.com All Rights Reserved
更新时间:2026/5/25 8:41:07