网站首页  词典首页


请输入您要查询的字词:

 

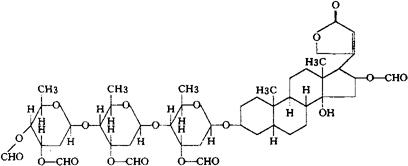
字词 吉妥福酯
类别 中英文字词句释义及详细解析
释义 吉妥福酯

C46H64O19=921.00

CAS-7685-23-6

羟基洋地黄毒甙3′,3,3,4,16-五甲酸酯。

Gitoxin 3′,3,3,4,16-pentaformate.

强心药。

Gitoformate.

INN,USAN.

随便看

 

离鸟网收录3541549条中英文词条,其功能与新华字典、现代汉语词典、牛津高阶英汉词典等各类中英文词典类似,基本涵盖了全部常用中英文字词句的读音、释义及用法,是语言学习和写作的有利工具。

 

Copyright © 2004-2024 vtrois.com All Rights Reserved
更新时间:2026/4/6 22:58:56