网站首页  词典首页


请输入您要查询的字词:

 

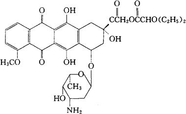
字词 地托比星
类别 中英文字词句释义及详细解析
释义 地托比星

C33H39NO14=673.67

CAS-66211-92-5

二羟乙酸32-酯与2(二乙基乙缩醛)阿霉素。

Glyoxylic acid 32-ester with doxorubicin,2-(diethylacetal).

抗生素类药。

Detorubicin.

INN,USAN.

随便看

 

离鸟网收录3541549条中英文词条,其功能与新华字典、现代汉语词典、牛津高阶英汉词典等各类中英文词典类似,基本涵盖了全部常用中英文字词句的读音、释义及用法,是语言学习和写作的有利工具。

 

Copyright © 2004-2024 vtrois.com All Rights Reserved
更新时间:2026/4/8 22:48:33