网站首页  词典首页


请输入您要查询的字词:

 

字词 复相关系数
类别 中英文字词句释义及详细解析
释义 复相关系数

衡量变量y与变量X1,X2,……,XK之间线性相关程度的指标。

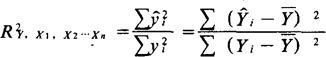
一般用RY,X1,X2…Xn表示,简记作R。复相关系数的平方R2表示在Y的总变差中,由于X1,X2,…,XK的变化而引起的Y的变化部分占总变差的比例,即

复相关系数R的数值介于-1和+1之间。比较高的R2表示所有的x1,x2…,xn与Y的相关程度高,也就是Y对X1,X2,…,Xn的多元回归中,回归方程对样本观察值的拟合误差小。

随便看

 

离鸟网收录3541549条中英文词条,其功能与新华字典、现代汉语词典、牛津高阶英汉词典等各类中英文词典类似,基本涵盖了全部常用中英文字词句的读音、释义及用法,是语言学习和写作的有利工具。

 

Copyright © 2004-2024 vtrois.com All Rights Reserved
更新时间:2026/5/26 15:51:45