工质的物性参数
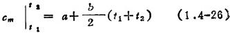
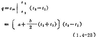
各种理想气体具有的一个共性是:在任何状态下,各种理想气体的三个基本状态参数之间都保持同一比较简单的关系式:f(p,v,T)=o。该关系式称作状态方程式。各种状态方程式的具体形式为: 对1kg气体,pv=RT (1.4-6) 式中 R为千克气体常数,J/(kg·K)。它是气体的物性参数,对不同的气体,其值是各不相同的,详见表1.4-2。 表1.4-2 气体的热力学性质   ❷ 直线比热 c=a+bt (1.4-25) t1与t2间的平均比热为  0℃到某温度t之间的平均比热为  各种理想气体按直线关系所求得的 值可查表1.4-5。 表1.4-5 气体的直线平均比热(0~1500℃适用)  如此,即可方便地求出吸热量:  ❸ 定值比热 对热力学问题进行定性分析而在精度要求不高时,可当比热值为常数,即定值比热。于是,吸热量等于 q=c(t2-t1) 由气体分子运动论推算出的各种原子数气体的定值千克摩尔比热的大致数值列于表1.4-6. 表1.4-6 气体定值千克摩尔比热  注:μR=8413.3J/(kmol·K),为通用气体常数,是:此处的R应是混合气体的平均千克气体常数,改用符号Rm;而μ应为混合气体的平均分子量,改用符号μm。 |