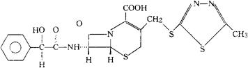
头孢卡奈
C19H18N4O5S3=478.56 CAS-41925-52-7 6R,7R)-[(R)-扁桃酰胺]-3-[[(5-甲基-1,3,4-噻二唑-2-基)硫代]甲基]-8-氧代-5-硫杂-1-氯杂双环[4.2.0]辛-2-烯-2-羧酸。 (6R,7R)-7-[(R)Mandelamido]-3-[[(5-methyl-l,3,4-thiadiazol-2-yl)thio]methyl]-8-oxo-5-thia-l-azabicyclo[4.2.0]oct-2-ene-2-carboxylic acid. 抗生素类药。 头孢康纳。 Cefcarnel,KY087. INN,USAN.  |