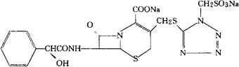
头孢尼西钠
C18H16N6Na2O8S3=586.52 CAS-61270-78-8 (6R,7R)-7-[(R)扁桃酰胺基]-8-氧代-3-[[[1-(硫甲基)-1H-四唑-5-基]硫代]甲基]-5-硫杂-1-氮杂双环-[4.2.0]辛-2-烯-2-羧酸二钠盐。 (6R,7R)-7-[(R)Mandelamido]-8-oxo-3-[[[1-(sulfomethyl)-1H-tetrazol-5-yl]thio]methyl]-5-thia-1-azabicyclo[4.2.0]oct-2-ene-2-carboxylic acid,disodium sait. 抗生素类药。 头孢羟苄磺唑。 Cefonicid Sodium,Monocid,SKF75073,Antiriotic SKF75073. INN & BAN(Cefonicid),USAN,MI.  |