头孢帕罗
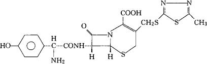
C19H19N5O5S3=493.57 CAS-51627-20-4 [6R-[6α,7β(R*)]]-7-[[氨基(4-羟苯基)乙酰]氨基]-3-[[(1甲基-1H-四唑-5-基)硫代]甲基]-8-氧代-5-硫杂-1-氮杂双环[4.2.0]-辛-2烯-2-羧酸。 5-Thia-l-azabicyclo[4.2.0]oct-2-ene-2-carboxylicacid,7-[[amino(4-hydroxyphenyl)acethyl]amino]-3-[[(l-methyl-lH-tetraz-ol-5-yl)thio]metyl]-8-oxo-,[6R-[6α,7β(R*)]]-. (6R,7R)-7-[(R)-2-氨基-2-(对-羟基苯基)乙酰胺基]-3-[[5-甲基-1,3,4-噻二唑-2-基)硫代]甲基]-8-氧代-5-硫杂-1-氮杂双环[4.2.0]辛-2-烯-2-羧酸。 (6R,7R)-7-[(R)-2-Amino-2-(p-hydroxyphenyl)acetamido]-3-[[(5-methy1-l,3,4-thiadiazol-2-yl-)thio]methyl]-8-oxo-5-thia-l-azabicyclo[4.2.0]oct2-ene-2-carboxylic acid. 抗生素类药。 头孢派罗。 Cefaparole. INN,USAN.  |