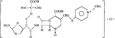
头孢氯铵
C23H25ClN6O8S3=645.12 CAS-107452-79-9 4-[[[(6R,7R)-7-[2-(2-氨基-4-噻唑基)乙醛酰氨基]-2-羧-8-氧代-5-硫杂-1-氮杂双环[4.2.0]辛-2-烯-3-基]甲基]硫]-1-甲基吡啶鎓氯化物72-Z-[O-(1-羧-1-甲基乙基)肟]-S-氧化物。 4-[[[(6R,7R)-7-[2-(2-Amino-4-thiazoly)glyoxylamido]2-Carboxy-8-oxo-5-thia-1-ayabicyclo[4.2.0]oct-2-en-3-yl]methyl]thio]methylpyidiniumchloride 72(Z)-[O-(1-carboxy-1-methylethyl)oxime]-S-oxide. 抗生素类药。 头孢麦吡啶。 Cefmepidium Cahloride. INN,USAN.  |