网站首页  词典首页


请输入您要查询的字词:

 

字词 奥昔康唑
类别 中英文字词句释义及详细解析
释义 奥昔康唑

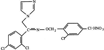
【化学名称】2′,4′-二氯-2-咪唑-1-基苯乙酮-(Z)-O-(2,4-二氯苄基)肟硝酸盐

【化学结构】

【药理作用】本品在体外有广谱抑真菌作用,尤其对白色念珠菌及须发癣菌显示杀菌活性,且对革兰阳性细菌也具高度活性。体内试验(大鼠念珠菌阴道炎、豚鼠毛癣菌病)中本品至少与咪康唑及益康唑显示相等疗效。至今研究过的所有咪唑类药物的作用机理均为抑制麦角类固醇合成中14α-甲基羊毛类固醇的脱14α-甲基阶段。类固醇类如同磷脂类一样,是细胞中的胆固醇相当于真菌细胞中的麦角类固醇。这一阻断严重损害真菌细胞膜的合成与功能,从而阻止了细胞的生长。哺乳动物细胞必要时可依靠自营养的胆固醇贮备,真菌细胞则完全依赖其自身合成麦甾醇。哺乳动物中与胆固醇合成有关的酶受咪唑类药物抑制的敏感性,只有真菌酶的几分之一,这就降低了这些化合物对哺乳动物的毒性。许多咪唑类药物包括本品可破坏休止细胞以及生长的微生物,这提示这类药物有几个作用部位。可受咪唑类药物抑制的细菌细胞膜中不具有麦角甾醇这一事实也说明了这一点。

急性毒性LD50( mg/kg):小鼠口服为 3850;腹腔注射:小鼠460,大鼠为 480;静注:小鼠为 47,大鼠为44。口服时仅有轻度毒性。小鼠腹腔内或静脉注射时毒性比口服高 6至8倍甚至 80倍。亚急性及慢性毒性:口服本品连续 13周,大鼠剂量为5、35或 50 mg/(kg·d),狗为 5、25或 150 mg/(kg·d),耐受性通常均良好。仅最高剂量组引起狗体重明显减轻及轻度肝损伤。

【药代动力学】皮肤吸收极少;涂敷的大部分活性成分仍留在上皮角质层之上及之中。

【适应证】由皮肤真菌(表皮癣菌属、小孢子菌属及发癣菌属),酵母及酵母样真菌(如白色念珠菌及糠秕马拉色氏霉菌)所致无毛及多毛皮肤的各种真菌感染,以及真菌及革兰氏阳性细菌(如金黄色葡萄球菌)的混合感染。本品对棒球杆菌(它引起红癣)也有效。本品适用于四肢、躯干、头皮及生殖器区以及皮肤皱褶处的真菌疾病。

【剂量与用法】霜剂或溶液涂敷:1次/d,最好于晚上敷于感染部位,霜剂应以手指轻轻摩擦。霜剂适用于上述所有适应症。溶液用于足趾间及头皮上,疗程一般不少于3周。为防止复发,在皮肤疾患完全愈合后应继续使用本品 1 ~2周。于受感染的皮肤或阴茎头及包皮上涂擦一薄层霜剂,1 次/d,直到愈合为止(通常约在 1周后)。

【不良反应】本品通常耐受性良好,罕见皮肤反应如轻度烧灼感或显著瘙痒。

【注意事项】禁用于对本品过敏者,对胎儿无明显毒性,但除非绝对必要,妊娠早期应避免使用。本品溶液不能接触眼粘膜。

【制剂规格】霜剂:1 %(10 g或 20 g装);溶液剂:1 % 。

【贮存】于室温保存。

【生产厂家】瑞士 Roche公司。

随便看

 

离鸟网收录3541549条中英文词条,其功能与新华字典、现代汉语词典、牛津高阶英汉词典等各类中英文词典类似,基本涵盖了全部常用中英文字词句的读音、释义及用法,是语言学习和写作的有利工具。

 

Copyright © 2004-2024 vtrois.com All Rights Reserved
更新时间:2026/5/25 16:53:29