网站首页  词典首页


请输入您要查询的字词:

 

字词 导数与微分的应用
类别 中英文字词句释义及详细解析
释义 导数与微分的应用

7.7.1 函数存在极值的条件

若f′(x0)=0或不存在,f′(x)通过x0时变号,且f(x)在x0点连续,则当x渐增过x0时f′(x)由(+)变(-),则f(x0)为极大值;当x渐增过x1时f′(x)由(-)变(+),则f(x0)为极小值。

若f′(x0)=0,且f″(x0)0,则f(x0)为极值;当f″(x0)<0时,f(x0)为极大值;当f″(x0)>0时,f(x0)为极小值。

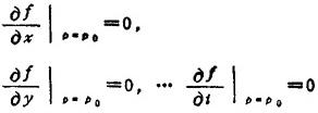
对于多元函数f(P)=f(x、y、z,…t),在点P0(x0,y0,z0,…t0)处若满足:

❶ 必要条件:各个一阶偏导数都存在,且

❷ 充分条件:)2f当甚小时,若D恒为正值,则f(P0)为极小值;若D恒为负,则f(P0)为极大,

7.7.2 曲线的凸凹性及拐点

在〔a,b〕上f″(x)存在。若f″(x)>0,则曲线上凹,若f″(x)<0,则曲线上凸;若f″(x0)=0,且当x渐增通过x0时f″(x)变号,则点(x0,f(x0))为拐点。

随便看

 

离鸟网收录3541549条中英文词条,其功能与新华字典、现代汉语词典、牛津高阶英汉词典等各类中英文词典类似,基本涵盖了全部常用中英文字词句的读音、释义及用法,是语言学习和写作的有利工具。

 

Copyright © 2004-2024 vtrois.com All Rights Reserved
更新时间:2026/4/6 23:57:07