网站首页  词典首页


请输入您要查询的字词:

 

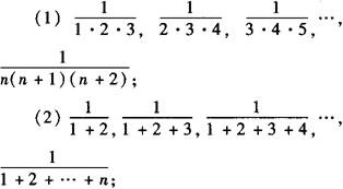
字词 常见的拆项公式
类别 中英文字词句释义及详细解析
释义 常见的拆项公式

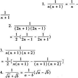
5.(以后会学到)

6.n·n!=(n+1)!—n!(以后会学到

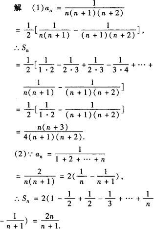
例1 求下列各数列前n项的和Sn

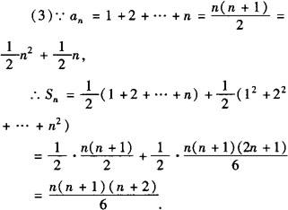
(3)1,1+2,1+2+3,…,1+2+…+n.

分析 这类求和问题主要是弄清通项公式的特点,然后确定求和的方法.

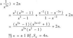
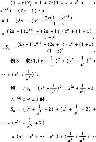
例2 求和Sn=1+3x+5x2+7x3+…+(2n—1)xn—1

解 (错位相减法)当x=1时,Sn=n2;当x≠1时,

∵Sn=1+3x+5x2+7x3+…+(2n1)xn—1

∴xSn=x+3x2+5x3+7x4+…+(2n1)xn

两式相减得:

随便看

 

离鸟网收录3541549条中英文词条,其功能与新华字典、现代汉语词典、牛津高阶英汉词典等各类中英文词典类似,基本涵盖了全部常用中英文字词句的读音、释义及用法,是语言学习和写作的有利工具。

 

Copyright © 2004-2024 vtrois.com All Rights Reserved
更新时间:2026/5/26 23:25:58