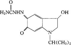
异丙佐罗
C12H16N4O3=264.28 CAS-7248-21-7 3-羟-1-异丙基-5,6-二氢吲哚二酮-5-缩氨基脲。 3-Hydroxy-1-isopropyl-5,6-indolinedione-5-semicarbazone. 2-[1,2,3,6-四氢-3-羟基-1-(1-甲基乙基)-6-氧代-5H-吲哚-5-亚基]肼甲酰胺。 2-[1,2,3,6-Tetrahydro-3-hydroxy-1-(1-methylethyl)-6-oxo-5H-indol-5-ylidene]hydrazinecarboxamide. N-异丙基去甲肾上腺素红单半缩脲。 N-Isopropylnoradrenochrome monosemicarbazone. 抗偏头痛药,抗血清素药。用于治疗周期性偏头痛和止血。 Iprazochrome,Iprenazone,Divascan,Migrenon,IAS. INN,GDP,USAN.  |