网站首页  词典首页


请输入您要查询的字词:

 

字词 总量法
类别 中英文字词句释义及详细解析
释义 总量法

[说明]所谓总量法,就是以报告期的原料总耗量、主副产品及回收品的总产量为基础,用式6-1-3来计算物料或污染物流失总量。

[例]某化工厂年产重铬酸钠2010t,其纯度为98%,每吨重铬酸钠耗用铬铁矿粉1440kg,铬铁矿粉含Cr2O3量为50%,重铬酸钠转炉焙烧转化率为80%。含铬废水处理为75000m3,处理前废水含六价铬浓度C0=0.175kg/t,处理后六价铬浓度为C1=0.005kg/t。铬渣、铝渣、芒硝未处理,试求该厂全年六价铬的流失量。

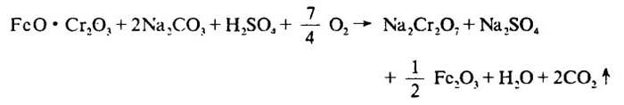
解:化学反应式为:

当量换算值:

原料中六价铬的有效使用量:

G=2010×1440×0.50×0.684×0.8=791907.84(kg)

产品中Cr+6量:G=2010×0.98×0.349×1000=687460.2(kg)

废水中处理掉的Cr+6量:

G=75000×1×(C0-C1)=75000×1×(0.175-0.005)=12750(kg)

Cr+6流失量

G流失=G-G-G

=791907.84-687460.2-12750=91697.64(kg)

随便看

 

离鸟网收录3541549条中英文词条,其功能与新华字典、现代汉语词典、牛津高阶英汉词典等各类中英文词典类似,基本涵盖了全部常用中英文字词句的读音、释义及用法,是语言学习和写作的有利工具。

 

Copyright © 2004-2024 vtrois.com All Rights Reserved
更新时间:2026/4/5 18:39:18