指数预测方法
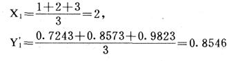
现象的发展大体上是按每期以均匀的增长速度增减变化,即各期的环比增长速度大体相同。 则这种现象的基本趋势是指数曲线型的。按这种规律来预测事物的发展趋势,称指数预测方法,是趋势外推法的一种。 指数曲线的方程式是: Y=abx 其中a,b都是待定参数,a表示基期的初始水平,b表示现象的一般发展速度,上式表明:X年的变量Y等于初始水平乘以一般发展速度的X次方,这个意义是很明白的。 进行指数曲线的配合,必须先将指数曲线化为直线的形式: 对Y=abx式,两边取对数:logy=xlogb+loga, 设Y’=logy,logb=A,loga=B, 则Y=abx化为:Y’=AX+B 就可以按直线配合的方法确定所需要的指数曲线。 例如某化工局连续6年的化肥产量资料如下表,要求预测第8年的可能产量,见下表:  以上资料,各年递增速度大体相同,所以其发展趋势是指数曲线型的,用平均法求平均点得:   分别代入方程:Y’=AX+B得,0.8546=2A+B 1.2364=5A+B 解得:A=logb=0.1273,B=loga=0.6,b=1.34,a=3.98 所以,Y’=logy=0.1273X+0.6,Y=abx =3.98(1.34)x 第八年可能产量为:Y=3.98(1.34)8=41.54(万吨) |