网站首页  词典首页


请输入您要查询的字词:

 

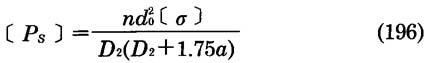
字词 按缸盖螺栓强度验算烘缸的许用工作气压[Ps]
类别 中英文字词句释义及详细解析
释义 按缸盖螺栓强度验算烘缸的许用工作气压[Ps]

式中 D2——缸盖与缸筒配合处的直径,cm

a——缸筒凸缘内径倒角宽度,cm(图11-9-24)

n——每端缸盖螺栓数

d0——缸盖螺栓内径,cm

〔σ〕——螺栓的许用应力,MPa(见表11-9-2)

表11-9-2 烘缸螺栓许用应力〔σ〕及其内径d0

注:表中材料为A3、A4钢,工作温度为125℃。

随便看

 

离鸟网收录3541549条中英文词条,其功能与新华字典、现代汉语词典、牛津高阶英汉词典等各类中英文词典类似,基本涵盖了全部常用中英文字词句的读音、释义及用法,是语言学习和写作的有利工具。

 

Copyright © 2004-2024 vtrois.com All Rights Reserved
更新时间:2026/4/8 1:00:32