网站首页  词典首页


请输入您要查询的字词:

 

字词 数列与简单级数
类别 中英文字词句释义及详细解析
释义 数列与简单级数

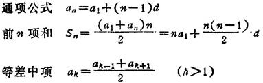
1.4.1 等差数列与等差(算术)级数

a1,α1+d,a1+2d,a1+3d,…(d为常数)称为等差数列。与等差数列相应的级数称为等差级数,又称算术级数,

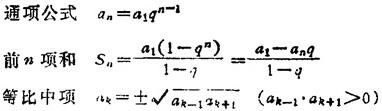
1.4.2 等比数列与等比(几何)级数

α1,a1q,a1q2,a1q3,…(q为常数)称为等比数列。与等比数列相应的级数称为等比级数。又称几何级数。

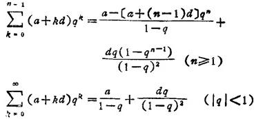
1.4.3 算术-几何级数

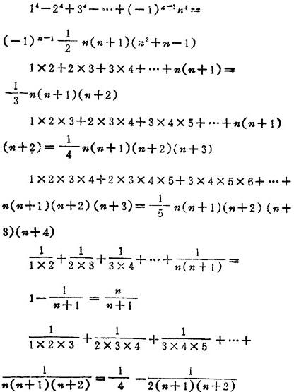
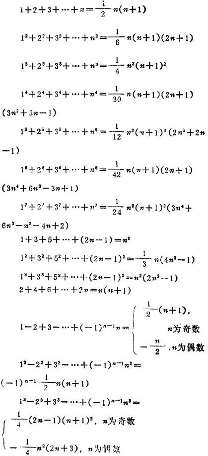
1.4.4 某些级数部分和

随便看

 

离鸟网收录3541549条中英文词条,其功能与新华字典、现代汉语词典、牛津高阶英汉词典等各类中英文词典类似,基本涵盖了全部常用中英文字词句的读音、释义及用法,是语言学习和写作的有利工具。

 

Copyright © 2004-2024 vtrois.com All Rights Reserved
更新时间:2026/4/7 22:14:53