斯特哥尔堡对策反馈解
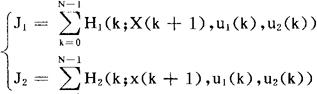
即离散时间两人动态有穷非零和对策。 设X(k)是状态变量,其演化方程为 X(k+1)=F(k;x(k),u1(k)u2(k)) k=0,1,2,…,N一1 式中,U1(k)、U2(k)分别为“领导”和“随从”在k时刻(或第k段对策)所采用的策略。他们在k时刻的策略集分别为U1(k)={U1(k)}和U2(k)={U2(k)}并且假定均为有穷集,k=0,1,2,…,N-1。 “领导”和“随从”的目标函数(损失函数)分别为  由于斯特哥尔堡对策本身的特点,利用动态规划方法不一定能求得对策的最优解,充其量只能认为是一种次优解。 为区分这一情况,通常把用动态规划方法求得的斯特哥尔堡对策解称为反馈解。 |