网站首页  词典首页


请输入您要查询的字词:

 

字词 斯科尔斯,M.
类别 中英文字词句释义及详细解析
释义 斯科尔斯,M.

1941~

1997年诺贝尔经济学奖获得者之一。

金融工程学开创者之一。加拿大人,生于1941年。

1962年在Mc-Master大学获学士学位,1968年获芝加哥大学商学院金融学博士学位。

先后任教于麻省理工学院(1968~1973年)、芝加哥大学(1973年~1983年)、斯坦福大学(1983年以后),并任胡佛研究所高级研究员。

其主要著作和重要论文有:
❶ 1972年与布莱克合写的《期权合约定价和市场有效性检验》(Journal of Finance,Vol.27,pp.399~417)。
❷ 1972年与布莱克、詹森合写的《资本资产定价模型:詹森作的一些实证检验》,以上两篇论文成为对资本资产定价模型(CAPM)检验与市场有效性研究领域的重要文献。

❸ 1973年与布莱克合写的《期权与公司债务定价》(The Pricing of Options and Corporate Liabilities,Journal of Political Economics,Vol.81,pp.637~654),正是这篇文章的开创性研究为他们带来了极大的荣誉,这篇文章所提出的Black-Scholes期权定价模型对这一领域具有革命性的意义,也对后续的金融领域的研究产生广泛而深刻的影响。
❹ 1974年与布莱克合写的《股利发放和股利政策对普通股价格和收益的影响》(Journal of Financial Economics,Vol,pp.1~22)。

❺ 1976年写的《税收和期权定价》。
❻ 1977年与J·Wiliams合写的《以非同步数据估计β》(Journal of Financial Economics,Vol.5,pp.309~327)。
❼ 1978年与米勒合写的《股利和税收》(Journal of Financial Economics,Vol.6,pp.333~364)。
❽ 1982年与米勒合写的《股利和税收:一些实证证据》(Journal of Political Economics,Vol.90,pp.1118~1141)。

❾ 1996年写的《全球金融市场,衍生证券和系统风险》(Journal of Risk and Uncertainty,12;271~286,1996)等。

为他赢得经济学最高荣誉的主要是其在期权定价理论方面的贡献。1973年他与已故的费希尔·布莱克联名发表《期权与公司债务定价》,提出Black-Scholes期权定价公式。布莱克和斯科尔斯用以下七个假设来界定期权和股票市场的理想状态。

❶ 短期利率是已知的,而且在一段时间内保持稳定。
❷ 股票价格在连续时间内以一个与股票价格的平方成比例的变化率遵循随机漫步(random walk)规则运动。

因而在任何一段确定的时间里,股票价格的概率分布呈对数正态分布(log normal),而且股票收益率的方差具有稳定性。
❸ 股票不支付红利或作出其他分配。

❹ 期权是"欧式"的,即只能在到期方可履行。
❺ 买卖股票或期权没有交易成本。
❻ 以短期利率融资来进行任何比例地购买或持有的股票的价款支付是可能的。
❼ 对卖空没有惩罚限制。

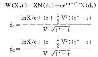
由此导出"风险中性定价"下的BlackScholes看涨期权定价模型为:

其中:N(d)是累积正态密度函数。W(X,t):期权的价值。X:股票价格。c:期权的执行价格。

t:现在的日期。t*:期权的到期日。

r:利率。V2:方差。

模型显著的特点是不依赖于股票或期权预期收益率和任何市场风险偏好的测度。在此公式中,只有5个变量决定期权价格:X,t,r,c和V2

除方差V2,每个变量都是已知的或可以观察到的,通过历史数据可估计V2,这表明公式能实际应用。布莱克和斯科尔斯据此导出欧式看跌期权、不付红利的美式看涨期权的价值,认股权证定价、普通股和债券定价。

并对定价公式进行实证检验。布莱克-斯科尔斯复制法则在技术上直接引发金融工程学的诞生和兴盛。

与以往的诺贝尔经济学奖得主相比,其显著特点是理论研究与金融市场的实际操作紧密联系。

1993年,斯科尔斯与默顿成为一家对冲基金公司"长期资本管理"(Long-Term Capital)的合伙人。

随便看

 

离鸟网收录3541549条中英文词条,其功能与新华字典、现代汉语词典、牛津高阶英汉词典等各类中英文词典类似,基本涵盖了全部常用中英文字词句的读音、释义及用法,是语言学习和写作的有利工具。

 

Copyright © 2004-2024 vtrois.com All Rights Reserved
更新时间:2026/4/8 16:25:32