网站首页  词典首页


请输入您要查询的字词:

 

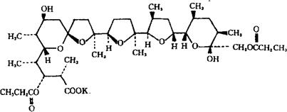
字词 来洛霉素丙酸钾
类别 中英文字词句释义及详细解析
释义 来洛霉素丙酸钾

C40H65KO13=793.05

CAS-84799-02-0

CAS-56283-74-0(laidlomycin)

16-脱乙基-3-O-脱甲基-16-甲基-3-O-(1-氧代丙基)-莫能菌素,26-丙酸,单钾盐。

16-Deethyl-3-O-demethyl-16-methyl-3-O-(1-oxopropyl)monensin,26-propanoate,monopotassium salt.

(αS,βR,γS,2S,5R,7S,8R,9S)-β,9-二羟-α,γ,2,8-四甲基-2-[(2R,5S)-四氢-5-甲基-5-[2R,3S,5R-四氢-3-甲基-5-[(2S,3S,5R,6R)-四氢-6-羟-6-(羟甲基)-3,5-二甲基-2H-吡喃-2-基]-2-呋喃]-2-呋喃基]-1,6二噁螺[4,5]癸烷-7-丁酸,β,-二丙酸钾。

Potassium(αS,βR,γS,2S,5R,7S,8R,9S)-β,9-dihydroxy-α,γ,2,8-tetramethy1-2-[(2R,5S)-tetrahydro-5-methyl-5-[2R,3S,5R-tetrahydro-3-methyl-5-[(2S,3S,5R,6R)-tetrahydro-6-hydroxy-6-(hydroxymethyl)-3,5-dimethyl-2H-pyran-2-yl]-2-furyl]-2-furyl]-1,6-dioxaspiro[4,5]decane-7-butyrate,β,6″1-dipropionate.

抗生素类药,兽用生长刺激药。

丙酸来洛霉素钾。

Laidlomycin Propionate Potassium,RS-11988.

INN & BAN(Laidlomycin),USAN.

随便看

 

离鸟网收录3541549条中英文词条,其功能与新华字典、现代汉语词典、牛津高阶英汉词典等各类中英文词典类似,基本涵盖了全部常用中英文字词句的读音、释义及用法,是语言学习和写作的有利工具。

 

Copyright © 2004-2024 vtrois.com All Rights Reserved
更新时间:2026/4/7 4:46:04