枳椇叶
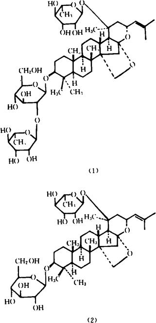
【概况】: 基源 为鼠李科枳椇属植物枳椇和北枳椇的叶。 原植物 枳椇Hovenia acerba Lindl.。北枳椇H.dulcis Thunb. 余项参见“枳椇”条。 。 【化学】: 含皂甙(Saponin)A1、A2、B、C1、C2、D(1)、E、F、G(2)和H[1],近年来用碱裂解Saponin D,获得真正的皂甙元是酸枣仁皂甙元(Jujubogenin),并得到另一种皂甙20-O-α-L-Rhamnopyranosyljujubogenin[2],另尚含有水溶性的甜味成分枳椇素(Hodulcin),亦为三萜类皂甙,分解得到森林匙羹藤酸(Gymnemic acid)和Ziziphins[3]。  参考文献 [1] J Chem Soc Perkin Trans I 1981;(7)∶1923 [2] Chem Pharm Bull 1987;35(6)∶2574 [3] CA 1989;110∶113363d 【药性】: 功效 解酒毒,下死胎。 主治 酒醉,风热感冒,外感腹痛,死胎不下。 ❶ 姚可成《食物本草》:“治死胎不出,用枳椇叶14片,水酒各250ml,煎8分服。” ❷ 《陕西中草药》:“枳椇枝叶,熬膏服,功效同果梗,且能止呕,解酒毒及铁棒锤(毛茛科植物)毒。” ❸ 《新华本草纲要》:“叶,主治酒醉,风热感冒,外感腹痛,死胎不下。” 用法用量 内服:煎汤,9~15g。。【临床应用】: 单方应用 姚可成《食物本草》:“治死胎不出:枳椇叶14片,水、酒各250ml,煎8分服。” |