网站首页  词典首页


请输入您要查询的字词:

 

字词 植物的水分利用效率
类别 中英文字词句释义及详细解析
释义 植物的水分利用效率

植物产量和水分消耗之间的定量关系。

研究的主要目标是谋求如何最有效地利用水分,即以最低限度的用水获取最大的产量或收益。植物产量主要来自光合作用。

水分消耗主要是通过蒸腾作用(大田应包括蒸发)。陆生植物由于经常处在水分不足的环境中,在蒸腾作用和光合作用之间常出现尖锐的矛盾。

协调和解决这一矛盾,是提高和保证旱地作物产量的必由之路。测定植物的水分利用效率(WUE),可表达二者之间的定量关系。

其测定和表达的指标,最早用需水量、蒸腾系数、蒸腾效率,后改用蒸腾比,最近多用WUE。这些名词含义本质相同,但又有差别,可互相换算。

自1890年美国King首先研究田间作物需水量开始,这方面的工作普遍展开。19世纪末和20世纪的前50年,人们对土壤含水量、气候条件、植物营养状况、害虫等进行了比较系统和深入的研究,发现作物产量和水分利用之间是完全相关的。但由于盆栽试验和大田试验结果之间较大的矛盾一时无法调和,该研究曾一度受到波折和阻碍。1958年,de Wit对前人研究资料进行分析,将盆栽试验和大田试验结果完美地统一起来,把植物水分利用的研究极大地向前推进了一步,堪称现代研究之里程碑。

他认为,在半干旱地区,产量和水分利用之间的关系为Y=mT/E(式中,Y为干物质产量;T为蒸腾量;m为仅依赖于种或品种的作物因子,是一常数;E0为自由水面蒸发)。在湿润地区,水分不受限制,太阳辐射是限制因子,此时,Y=nT(n为一常数)。

在此之后提出的各种模型都是以此为基础的。

对植物的水分利用效率进行理论分析,可以得出植物在一定条件下能达到的最大WUE。

把它和实际测定的数值比较,可找出二者之间的差距和原因,据此制定改进措施。植物在吸收COS2进行光合作用的同时向大气散失水汽,这就是光合(P)和蒸腾(T)。

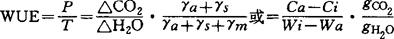
Kramer(1983)根据CO2和水蒸汽进出叶片扩散常数的不同得出最大WUE为:

式中,△CO2和Ca-Ci为细胞质体中CO2浓度与大气中CO2浓度之差;△H2O和Wi-Wa为细胞间隙中水汽浓度与大气中水汽浓度之差;γa为气孔扩散的界面阻力;γs为气孔阻力;γm为叶肉阻力;gCO2及gH2O分别为CO2和水汽经扩散途径的传导率。gH2O/gCO2=水汽和CO2在空气中的扩散常数比,即DH2O/DCO2=1.56或DCO2/DH2O=0.64。

由于水分是由叶肉细胞壁表面蒸发,通过细胞间隙和气孔进入大气的;而CO2除了经过上述途径外,还要通过叶肉细胞壁、原生质膜、胞质水相、叶绿体膜、光反应和暗反应,才能被固定到光合产物中去。

因此,Nobel(1980)进一步将与WUE有关的植物叶片解剖性状参数导入以上公式,用来说明和计算叶片解剖构造及其与WUE之间的定量关系。

他用CO2的细胞传导和叶肉细胞壁面积与叶片表面面积之比(A叶肉/A叶片)的乘积来表示CO2的叶肉传导(或其倒数叶肉阻力).由此得

此式表达了大气(Ca,Wa)、叶温()、大气(gHo)、细胞性状(和叶片解剖特性(A叶肉/A叶片)等因素对WUE的影响。

从上面的公式看,似乎各种植物的WUE应该相同。但在相同的自然或栽培条件下,测定结果差别很大。如一般中生植物,几乎包括全部农作物,其需水量变动在200~1000之间,相差达5倍。极端情况下有低至20和高达2000的。

显然在后一种情况下植物已很难存活。对作物需水量之间这种较大的差异,过去一直没有作出正确的解释。

60年代,对C4植物和CAM植物代谢途径的研究发现,得知除去极端条件外,这种差异主要是由植物本身决定的,包括形态、解剖及生理生化作用的不同。现已知道,C4植物WUE比C3植物高2.5~3倍,CAM植物的WUE最高。

同一种作物的不同品种WUE也有差别。Dobrenz等(1971)在控制条件下研究了7个苜蓿品种的需水量,结果为732~968,并发现品种之间需水量的差异是由于干物质累积不同造成的。还有许多研究也都表明,不同的小麦、棉花、玉米等品种之间均有WUE的差异。多种作物的杂交种比纯自交系具有较高的WUE。

此外,同一作物在不同的生育期WUE不同。.

一般认为,WUE是一个可遗传的性状。不同的植物种或品种间wUE的差异,为选择和利用高WUE植物.节约用水提供了依据。

这样,即可通过引种和选种来提高栽培作物的WUE。

植物的一切生命活动均受外界环境的影响,WUE也不例外。植物WUE主要包含光合和蒸腾或蒸发蒸腾两部分,凡能影响这两个过程的因素都会影响WUE。

除常见的大气温度、湿度、光照、气流、土壤水分和矿物质营养外,种植密度、生长调节物质和蒸腾抑制剂、土壤覆盖、灌溉次数、空气中CO2浓度、病虫害等均影响WUE。王韶唐(1987)将这些因素总结如下图。

近年来国际能源危机使人们越来越重视作物生产中的水分利用,除提高WUE外,重要的途径就是提高水分的有效利用。

这在干旱半干旱地区尤为重要。大家知道,在干旱半旱地区,降水较少,水分亏缺是影响作物产量继而影响WUE的重要因素之一.侣即使这有限的降水也远没有得到充分有效的利用。研究表明,这主要与土壤瘠薄有关。

因此提出了“培肥地力,以肥调水”的说法,有关栽培和耕作措施也广泛应用,取得了很好的经济效益,但对其生理机制的研究尚很不足。赵立新等(1991)的研究表明,旱地施肥可普遍提高冬小麦的WUE,高的可达48.36%(以经济产量计),并对旱地“以肥调水”的生理机制作了一些探讨。另外一条有效途径是发展节水型农业,主要指在干旱半干旱地区,在作物生长发育的水分临界期,给以一定量的灌水,以获得较高的产量和WUE。

随著科学技术的发展,测试手段不断更新,光合作用和蒸腾作用机理的研究不断深入,加上电子计算机的普遍应用,使得能够在土壤——植物——大气系统中深入系统地研究作物WUE,更精确地估算某一地区某一作物能达到的产量及当地农业生产潜力,为当地农业区划、生产计划、作物布局及改进耕作制度提供科学依据,进而使整体经济规划建立在可靠的基础之上。

。【参考文献】:

1 de Wit C T. Transpiration and crop yields: Versl Landbou-wk Onderz 64. 6 Inst of Biol.Chem Res. On Field Crops and Herbage, Wageningen, The Netherlands. 1958

2 Dobrenz A K,et. al. Crop Sci. 1971,11 " 124~125

3 Nobel P S. Leaf anatomy and water use efficiency. In N C Turer,P J Kramer(eds. ). Adaptation of Plants to Water and High Temperature Stress. Awiley-Intersci. Pub. 1980, 43~55

4 Kramer P J. Water Relations of Plants. Acad Press. 1983, 390~415

5 王韶唐.干旱地区农业研究,1987,2∶67~80

6 赵立新,荆家海,王韶唐.植物生态学与地植物所学报,1991,15(4)∶330~343

(西北农业大学植物生理教研室赵立新硕士、荆家海教授撰)

随便看

 

离鸟网收录3541549条中英文词条,其功能与新华字典、现代汉语词典、牛津高阶英汉词典等各类中英文词典类似,基本涵盖了全部常用中英文字词句的读音、释义及用法,是语言学习和写作的有利工具。

 

Copyright © 2004-2024 vtrois.com All Rights Reserved
更新时间:2026/4/7 3:01:48