网站首页  词典首页


请输入您要查询的字词:

 

字词 标准差
类别 中英文字词句释义及详细解析
释义 标准差

方差的算术平方根.

注意 1.极差、方差、标准差是刻划一组数据离散程度的三个量度.

2.一般而言,一组数据的极差、方差或标准差越小,这组数据也就越稳定.

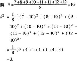
例1 数据7,8,9,10,11,11,12,12的方差是__,标准差是__.

标准差为

例2 从甲、乙两种玉米中各抽取10株,分别测得它们的株高如下(单位:cm)

甲:25 41 40 37 22 14 19 39 21 42

乙:27 16 44 27 44 16 40 40 16 40

问:(1)哪种玉米的苗长得高?

(2)哪种玉米的苗长得齐?

解 (1)

<

∴乙种玉米苗长得高.

(2)

∴甲种玉米苗长得齐.

[解析] 玉米的高矮是由它们的平均高度来反映的,所以只须比较它们的平均数.而要看哪种玉米苗长得齐,则要比较它们的方差,因为方差是体现一组数据波动大小的特征数.

例3 已知样本x1,x2…xn的方差是3,则样本

(1)2x1,2x2…2xn的方差是__.

(2)x1+5,x2+5…xn+5的方差是__.

(3)2x1+5,2x2+5…2xn+5的方差是__.

答 12,3,12.

[解析] 若一组数据x1,x2…xn的方差为S2,则

(1)x1+b,x2+b…xn+b的方差为S2

(2)ax1,ax2…axn的方差为a2S2

(3)ax1+b,ax2+b…axn+b的方差为a2S2

随便看

 

离鸟网收录3541549条中英文词条,其功能与新华字典、现代汉语词典、牛津高阶英汉词典等各类中英文词典类似,基本涵盖了全部常用中英文字词句的读音、释义及用法,是语言学习和写作的有利工具。

 

Copyright © 2004-2024 vtrois.com All Rights Reserved
更新时间:2026/5/26 13:30:21