格列喹酮
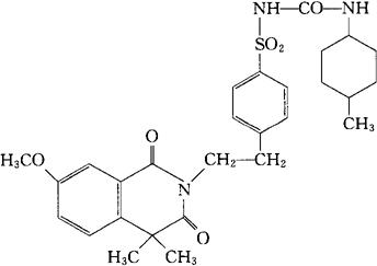
C27H33N3O6S=527.63 CAS-33342-05-1 1-环己基-3-[[对-[2-(3,4-二氢-7-甲氧-4,4-二甲基-1,3-二氧代-2(1H)异喹啉基)乙基]苯基]磺酰]脲。 1-Cyclohexyl-3-[[p-[2-(3,4-dihydro-7-methoxy-4,4-dimethyl-1,3-dioxo-2(1H)isoquinolyl)ethyl]phenyl]sulfonyl]urea. N-[(环己氨基)羰基]-4-[2-(3,4-二氢-7-甲氧-4,4-二甲基-1,3-二氧2(1H)异喹啉基)乙基]苯磺酰胺。 N-[(Cyclohexylamimo)carbonyl-4-[2-(3,4-dihydro7-methoxy-4,4-dimethyl-1,3-dioxo-2(1H)isoqinolinolinyl)ethyl]benzenesulfonamide. 降血糖药,抗糖尿病药。 Gliquidone,ARDF 26,Glurenor,Glurenoem,M 5276. INN,BAN,USAN,MI.  |