氨苄青霉素[典]
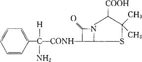
C16H19N3O4S·3H2O=403.45 CAS-7177-48-2 (2S,5R,6R)-[(R)-2-氨基-2-苯乙酰胺]-3,3-二甲基-7-氧-4-硫杂-1-氮杂双环[3.2.0]庚烷-2-羧酸三水化合物。 (2S,5R,6R)-6-[(R)-2-Amino-2-phenyl-acetamido]-3,3-dimethyl-7-oxo-4-thia-1-azabicyclo[3.2.0]heptane-2-carboxylic acid trihydrate. 抗生素类药。用于革兰氏阳性球菌、大肠杆菌、变形杆菌、沙门氏菌等的感染。 氨苄西林,胺苄青霉素(台),氨苄青,安比西林。 Ampicillin,Amperil,Principen,BRL-1341,Ommpen· 氨苄青霉素胶囊(胺苄青霉素胶囊)(台),氨苄青霉素片(胺苄青霉素片)(台)。 INN,BAN,BP,DCF,DCIT,EP,FP,IP,JP,NFN,USAN,USPMI. 
|