法正蓄积量
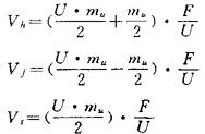
法正林模型的理想蓄积量。 是法正林的基本条件之一。作为一种森林经营的尺度,用来衡量现实蓄积量的多少,也可以作为森林调整的目标,在计算年伐量时,可发挥杠杆作用。由于计算时间不同,可分为春、夏、秋三种法正蓄积。 秋季法正蓄积(Vh)是指当年还没有采伐的法正蓄积,林分的全年生长量已经完成,从1年生至主伐年龄各龄级林分完整无缺,此时蓄积量为最大。春季法正蓄积量(Vf)是已扣除最老林分的法正蓄积,经营单位内到达主伐年龄的林分已经采伐。夏季蓄积(Vs)是全年生长刚及一半的法正蓄积量,近于秋季和春季法正蓄积的平均值。 在实际应用时,可按伐期单位面积蓄积量或伐期平均生长量等方法计算。现以伐期单位面积蓄积法为例,说明其计算方法。  式中Vh、Vf、Vs分别为秋季、春季、夏季法正蓄积量;U为轮伐期:mu为伐期单位面积蓄积量;F为某经营单位的面积。 |