网站首页  词典首页


请输入您要查询的字词:

 

字词 活性污泥法污水处理的计算及实例
类别 中英文字词句释义及详细解析
释义 活性污泥法污水处理的计算及实例

[例]某厂新建污水处理厂的流程如下:

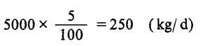
已知每天处理污水量为5000m3,其BOD浓度为1000mg/L,则计算如下:

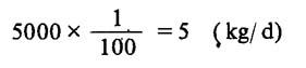
1.求每天需加入营养盐N和P的量

解:每天处理污水中BOD的量为:

根据BOD∶N∶P=100∶5∶1 得:

每天需营养盐N的量为:

每天需P的量:

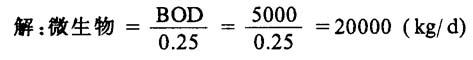
2.微生物需用量的计算

3.曝气池体积的计算

式中 G——微生物的量(kg/d)

C——微生物的浓度(mg/L)

解:若已知微生物浓度为C=2500mg/L,则:

4.需氧量的计算

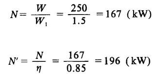
5.曝气所需动力及装机容量计算

式中 N——所需动力(kW)

W——需氧量(kg/d)

W1——每度电可产生的氧气量,一般为1.5kg/kW

N′——装机容量(kW)

η——电机等的效率(%)

解:若电机的效率为η=0.85,则:

6.每立方米曝气池所需动力计算

式中符号含义及单位同上

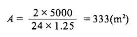
7.沉淀池面积计算

式中 Q——污水处理量(m3/d)

Q1——沉淀池污水溢流率[m3/(m2·h)]

2——负荷系数,按平均负荷的2倍计算

解:已知沉淀池溢流率为1.25m3/(m2·h),污水处理量为5000m3/d,则沉淀池面积为:

随便看

 

离鸟网收录3541549条中英文词条,其功能与新华字典、现代汉语词典、牛津高阶英汉词典等各类中英文词典类似,基本涵盖了全部常用中英文字词句的读音、释义及用法,是语言学习和写作的有利工具。

 

Copyright © 2004-2024 vtrois.com All Rights Reserved
更新时间:2026/4/7 0:51:46