海韭菜
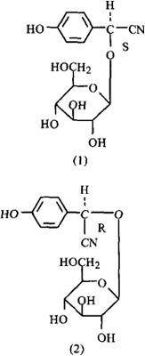
【名称出处】:《高原中草药治疗手册》 【概况】: 异名 那冷门(藏名)。 基源 为芝菜科水麦冬属植物圆果水麦冬的全草、果实。 原植物 圆果水麦冬Triglochin maritimum L 形态 多年生沼生草本,高20~30cm。 根状茎粗壮,垂直向下,斜生或横生,有多数须根。茎基部膨大。 叶基生,线形,下部半圆柱状,宽约2mm,上部稍扁平,基部增宽成鞘,宿存。密集的穗形总状花序顶生,长10~20cm,花葶直立,高5~60cm;花梗长约1mm,花后稍延长;花小,黄绿色,具短柄,无苞片;花被片6,卵形,鳞片状,排列成2轮,外轮3枚宽卵形,内轮3枚较狭;雄蕊6,与花被对生,几无花丝;心皮6,花柱缺,柱头羽状。 果实长圆形,具纵沟,成熟后6瓣裂。花期6~7月。(图见《中国高等植物图鉴》.第5册.16页.图6861) 生境与分布 生于河边湿润沙地、沼泽草甸、浅水中或海边及盐滩上。分布于中国东北、华北、西北、山东、西南等地。 。【生药】: 采集 6~7月采收全草,洗净,切段,晒干。9~10月采收果实。 【化学】: 幼果、花、成熟果、茎、叶均含氢氰酸,以及痕量的乙醛和乙醇,叶又含哌啶酸-2(Pipecolic acid)。 花中分出葡萄糖氰甙称水麦冬甙(Triglochinin),水解产生水麦冬酸(Triglochinic acid),即2-丁烯-1,2,4-三羧酸[1]。含有氨基酸[2],另外还有叶下珠甙(Dhurrin)(1),紫杉叶素(Taxiphyllin)(2)、Isotriglochinin[4,3]。  参考文献 [1] 中药大辞典.下册.上海人民出版社,1977:1941 [2] CA 1981;94:188668s [3] Phytochemistry 1979;18(7):1137 [4] J Chromatogr 1979;177(1):157。【药性】: 性味 ❶ 《青藏高原药物图鉴》:“果实:淡,温。” ❷ 《高原中草药治疗手册》:“全草:甘,平。” 归经 《高原中草药治疗手册》:“入肺、胃、肾三经。” 主治 ❶ 《青藏高原药物图鉴》:“果实:滋补,止泻,镇静。治眼痛。” ❷ 《高原中草药治疗手册》:“全草:清热养阴,生津止渴。” 用法用量 内服:煎汤,6~12g。 。【临床应用】: 方选和验方 ❶ 《高原中草药治疗手册》:“治高热伤阴(脱水),面赤,舌绛,烦躁,肢冷,自汗,脉微欲绝:海韭菜、玉竹、白薇、白芍、牡蛎。水煎服。” ❷ 《高原中草药治疗手册》:“治脾虚泄泻:海韭菜籽、党参、香青、老鹳草。水煎服。” 单方应用 《全国中草药汇编》:“治阴虚潮热,胃热烦渴,口干舌燥:海韭菜6~12g。水煎服。” |