网站首页  词典首页


请输入您要查询的字词:

 

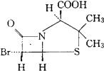
字词 溴巴坦
类别 中英文字词句释义及详细解析
释义 溴巴坦

C8H10BrNO3S=280.14

CAS-26631-90-3

(2S,5R,6R)-6-溴-3,3-二甲基-7-氧-4-噻-1-氮杂双环[3.2.0]庚烷-2-羧酸。

(2S,5R,6R)-6-Bromo-3,3-dimethyl-7-oxo-4-thia-1-azabicyclo[3.2.0]heptane-2-carboxylic acid.

β-内酰胺酶抑制药。

澳帕克坦。

Brobactam.

INN,USAN.

随便看

 

离鸟网收录3541549条中英文词条,其功能与新华字典、现代汉语词典、牛津高阶英汉词典等各类中英文词典类似,基本涵盖了全部常用中英文字词句的读音、释义及用法,是语言学习和写作的有利工具。

 

Copyright © 2004-2024 vtrois.com All Rights Reserved
更新时间:2026/4/7 7:22:07